题目内容
电荷q=-2×10-9库,由电场中a点运动到b点时,电场力做功1.5×10-7焦,由b点运动到c点时克服电场做功4.0×10-7焦,则a、b、c三点比较,电势由高到低排列的顺序是 ,a、c两点间的电势差为 V.
【答案】分析:根据
,结合电场力做功与电荷量,从而可确定电势高低,再由
即可求解.
解答:解:负电荷由电场中从a点运动到b点时,电场力做功1.5×10-7焦,
根据
,可知,W>0,q<0,所以Uab<0,则a点电势小于b点,
同理,可知,b点的电势大于c点;
而a点运动到c时,电场力做负功,所以a点电势小于c点,因此电势由高到低排列的顺序为:b、c、a.
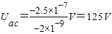
根据
,可得,
故答案为:b、c、a;125.
点评:本题根据电场力做功情况,分析电势高低,也可以根据下列推论判断电势的高低:正电荷在电势高处电势能大,负电荷在电势低处电势能大.
解答:解:负电荷由电场中从a点运动到b点时,电场力做功1.5×10-7焦,
根据
同理,可知,b点的电势大于c点;
而a点运动到c时,电场力做负功,所以a点电势小于c点,因此电势由高到低排列的顺序为:b、c、a.
根据
故答案为:b、c、a;125.
点评:本题根据电场力做功情况,分析电势高低,也可以根据下列推论判断电势的高低:正电荷在电势高处电势能大,负电荷在电势低处电势能大.
练习册系列答案
相关题目