题目内容
在验证机械能守恒的实验中,所用电源的频率为50Hz,某同学选择了一条理想的纸带,用刻度尺测量时各计数点位置对应刻度尺上的读数如图所示(图中O是打点计时器打的第一个点,A、B、C、D、E分别是以每打两个点的时间作为计时单位取的计数点).查得当地的重力加速度g=9.80m/s2,重锤下落的加速度a= ,若重锤质量为m kg,则重锤从起始下落至B时,减少的重力势能为Ep减= ,重锤下落到B时,动能为EK= ,得到的结论是 产生误差的主要原因是
【答案】分析:该实验为验证性实验,是在知道原理的情况下进行验证,因此求出物体下落时重力势能的减小量和动能的增加量是否相等即可验证,但是由于存在误差,物体下落时克服阻力做功,因此重力势能的减小量略大于动能的增加量,求物体下落的加速度时可以利用逐差即△x=aT2法进行.
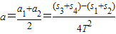
解答:解:每两个计数点之间的时间间隔为:T=0.04s,根据利用逐差△x=aT2有:


=9.69m/s2
重力势能的减小量为:△EP=mghOB=1.91m(J)
B点时的速度为:
重锤下落到B点时增加的动能为:
根据计算结果可以得出该实验的实验结论:在误差允许的范围内,重锤减小的重力势能等于其动能的增加,验证了机械能守恒定律.
重锤减小的重力势能略大于其增加的动能,其原因是重锤在下落时要受到阻力作用(对纸带的摩擦力、空气阻力),必须克服阻力做功,减小的重力势能等于增加的动能加上克服阻力所做的功.
故答案为:9.69 m/s2;1.91 mJ;1.88mJ;在实验误差允许的范围内,重锤重力势能的减少等于其动能的增加,机械能守恒;产生误差的主要原因是重锤下落过程中受到阻力的作用(空气阻力、纸带与限位孔间的摩擦阻力及打点时的阻力).
点评:通过该题理解验证性实验的特点,把握实验原理,提升实验能力,该题是考查基础实验知识的好题.
解答:解:每两个计数点之间的时间间隔为:T=0.04s,根据利用逐差△x=aT2有:
重力势能的减小量为:△EP=mghOB=1.91m(J)
B点时的速度为:
重锤下落到B点时增加的动能为:
根据计算结果可以得出该实验的实验结论:在误差允许的范围内,重锤减小的重力势能等于其动能的增加,验证了机械能守恒定律.
重锤减小的重力势能略大于其增加的动能,其原因是重锤在下落时要受到阻力作用(对纸带的摩擦力、空气阻力),必须克服阻力做功,减小的重力势能等于增加的动能加上克服阻力所做的功.
故答案为:9.69 m/s2;1.91 mJ;1.88mJ;在实验误差允许的范围内,重锤重力势能的减少等于其动能的增加,机械能守恒;产生误差的主要原因是重锤下落过程中受到阻力的作用(空气阻力、纸带与限位孔间的摩擦阻力及打点时的阻力).
点评:通过该题理解验证性实验的特点,把握实验原理,提升实验能力,该题是考查基础实验知识的好题.
练习册系列答案
相关题目