题目内容

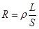
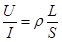
一段导线长L,线路上的电流为I,为使在线路上的电压为U,已知输电线的电阻率为ρ,则输电线的横截面积是:

A.                  B.             C.             D.

 

【答案】

B

【解析】

试题分析:据题意,导线上的电流为I,两端电压为U,则导线电阻为:,又知道导线长L,导线电阻率为ρ,据电阻定律有:,联立以上关系得:,则,故B选项正确。

考点:本题考查欧姆定律和电阻定律。

 

练习册系列答案
相关题目

违法和不良信息举报电话:027-86699610 举报邮箱:58377363@163.com

精英家教网