题目内容
如图所示,是能使带电粒子加速和偏转的装置.加速电极间的电压为U1,偏转电极间的电压为U2,偏转电极两板间距为d,板长为L.现有一质量为m,带电量为q的粒子(重力忽略),无初速的从左端进入该区域加速、偏转后从右端飞出,偏转的距离为y(
【答案】分析:带电粒子在加速电场中电场力做正功,由动能定理列式可求出获得的速度表达式.
带电粒子在偏转电场中做类平抛运动,利用运动的合成与分解的观点解决偏转量问题,据题意求灵敏度的表达式,再进行分析.
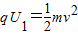
解答:解:粒子在电场中加速,由动能定理:
…①
粒子在电场中偏转时间:
…②
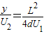
偏转位移:
…③
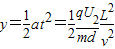
联立方程组①、③,解出:
…④
由④式可知:可以通过增大L,减小d和U1来提高灵敏度
答:灵敏度的表达式为
,可以通过增大L,减小d和U1来提高灵敏度.
点评:带电粒子的加速过程运用动能定理很简便,利用运动的合成与分解的观点解决类平抛问题,都是惯用的方法和思路.
带电粒子在偏转电场中做类平抛运动,利用运动的合成与分解的观点解决偏转量问题,据题意求灵敏度的表达式,再进行分析.
解答:解:粒子在电场中加速,由动能定理:
粒子在电场中偏转时间:
偏转位移:
联立方程组①、③,解出:
由④式可知:可以通过增大L,减小d和U1来提高灵敏度
答:灵敏度的表达式为
点评:带电粒子的加速过程运用动能定理很简便,利用运动的合成与分解的观点解决类平抛问题,都是惯用的方法和思路.
练习册系列答案
相关题目
| A、C是不带电的 | B、C的内部是不带电的 | C、C的内部电势为零 | D、C的内部场强为零 |