搜索
题目内容
竖直悬挂着的弹簧下端挂一个质量为
的物体时,弹簧长度为
;当物体质量增至
时,弹簧长度为
(在弹性限度内).求弹簧的原长和劲度系数.
试题答案
相关练习册答案
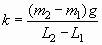
答案:
解析:
,
练习册系列答案
阳光同学一线名师全优好卷系列答案
过关冲刺100分系列答案
圆梦图书课时达标100分系列答案
高效作业系列答案
倍速学习法系列答案
初中新学案优化与提高系列答案
一遍过系列答案
全程加能百分课时练习系列答案
金考卷周末培优系列答案
名校名师课时作业系列答案
相关题目
一个原长为L的轻质弹簧竖直悬挂着.今将一质量为m的物体挂在弹簧的下端,用手托住物体将它缓慢放下,并使物体最终静止在平衡位置.在此过程中,系统的重力势能减少,而弹性势能增加,以下说法正确的是( )
A.减少的重力势能大于增加的弹性势能
B.减少的重力势能等于增加的弹性势能
C.减少的重力势能小于增加的弹性势能
D.系统的机械能增加
如图所示,四根相同的轻质弹簧都处于竖直状态,上端都受到大小皆为F的拉力作用,针对以下四种情况:
(1)中的弹簧下端固定在地上;
(2)中的弹簧悬挂着物块A而保持静止;
(3)中的弹簧拉着物块B匀加速上升;
(4)中的弹簧拉着物块C匀加速下降.
设四根弹簧的伸长量依次分别为△l
1
、△l
2
、△l
3
、△l
4
,则有( )
A、△l
1
<△l
2
B、△l
2
=△l
4
C、△l
3
<△l
1
D、△l
4
<△l
3
在“探究弹力和弹簧伸长的关系”的实验中,竖直悬挂着的弹簧下端,挂一质量为m
1
的物体,弹簧长度为L
1
,当物体质量增为m
2
时,弹簧长度为L
2
(未超过弹性限度),则原长L
0
为___________,劲度系数k为_____________。若以弹簧的总长为自变量,写出胡克定律的函数表达式
,画出弹力F与弹簧总长度L图像。
竖直悬挂着的轻弹簧下端挂一个质量为
的物体时,弹簧长度为
;当物体质量增至
时,弹簧长度为
(在弹簧性限度内)。求弹簧的原长
和劲度系数k。
关 闭
试题分类
高中
数学
英语
物理
化学
生物
地理
初中
数学
英语
物理
化学
生物
地理
小学
数学
英语
其他
阅读理解答案
已回答习题
未回答习题
题目汇总
试卷汇总
练习册解析答案