题目内容
土星周围有许多大小不等的岩石颗粒,其绕土星的运动可视为圆周运动.其中有两个岩石颗粒A和B与土星中心距离分别为rA=8.0×104km和r B=1.2×105km.忽略所有岩石颗粒间的相互作用,求:(结果可用根式表示)(1)求岩石颗粒A和B的线速度之比;
(2)求岩石颗粒A和B的周期之比;
(3)土星探测器上有一物体,在地球上重为10N,推算出他在距土星中心3.2×105km处受到土星的引力为0.38N.已知地球半径为6.4×103km,请估算土星质量是地球质量的多少倍?
【答案】分析:(1)由万有引力提供向心力即可列式求解;
(2)同样根据万有引力提供向心力列式求解;
(3)根据万有引力公式直接列式比较即可求解.
解答:解:(1)设土星质量为M,颗粒质量为m,颗粒距土星中心距离为r,线速度为v,据牛顿第二定律和万有引力定律有

解得

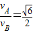
对于A、B两颗粒分别有


解得

故岩石颗粒A和B的线速度之比为
:2.
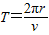
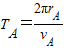
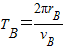
(2)设颗粒绕土星作圆周运动的周期为T,则有

对于A、B两颗粒分别有


解得

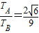
故岩石颗粒A和B的周期之比为2
:9.
(3)设地球质量为M,地球半径为r,地球上物体的重力可视为万有引力,探测器上物体质量为m,在地球表面重力为
G,距土星中心r′=3.2×105 km处的引力为G′,根据万有引力定律有

解得

故土星质量大约是地球质量的95倍.
点评:本题是万有引力定律得简单应用问题,可列出表达式直接对比求解.
(2)同样根据万有引力提供向心力列式求解;
(3)根据万有引力公式直接列式比较即可求解.
解答:解:(1)设土星质量为M,颗粒质量为m,颗粒距土星中心距离为r,线速度为v,据牛顿第二定律和万有引力定律有
解得
对于A、B两颗粒分别有
解得
故岩石颗粒A和B的线速度之比为
(2)设颗粒绕土星作圆周运动的周期为T,则有
对于A、B两颗粒分别有
解得
故岩石颗粒A和B的周期之比为2
(3)设地球质量为M,地球半径为r,地球上物体的重力可视为万有引力,探测器上物体质量为m,在地球表面重力为
G,距土星中心r′=3.2×105 km处的引力为G′,根据万有引力定律有
解得
故土星质量大约是地球质量的95倍.
点评:本题是万有引力定律得简单应用问题,可列出表达式直接对比求解.
练习册系列答案
相关题目