题目内容

如图4所示,两木块的质量分别为m1和m2,两轻质弹簧的劲度系数分别为k1和k2,上面木块压在上面的弹簧上(但不拴接),整个系统处于平衡状态.现缓慢向上提上面的木块,直到它刚离开上面弹簧,在这过程中下面木块移动的距离为()
A.m1g/k1 B.m2g/k1 C.m1g/kD.m2g/k2


C
【试题分析】

以m1为研究对象,在缓慢向上提m1的过程中,弹簧k1的弹力不断减小,当F=k1x1时,弹簧k1与木块m1不再相互作用,木块脱离弹簧.
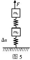
二是要弄清弹簧形变量之间的几何关系,这往往是解题的关键,可画出其初末状态(如图5所示)会有所启发.
由于是“缓慢上提”,所以木块m2在上升过程中处于动态平衡.根据物体的平衡条件可得
在初始状态时k2x2=(m1+m2)g
弹簧k2的压缩量为x2=
在末状态时k2x2′=m2g
弹簧k2的压缩量为x2′=
所以在此过程中下面木块m2移动的距离为
Δx=x2-x2
由以上三式可解得Δx=,所以选项C正确.

练习册系列答案
相关题目

违法和不良信息举报电话:027-86699610 举报邮箱:58377363@163.com

精英家教网