题目内容
如图甲所示电路,当变阻器的滑动片从一端滑到另一端的过程中两电压表的读数随电流表读数的变化情况如图乙中的AC、BC两直线所示,不考虑电表对电路的影响.求:(1)电压表V1、V2的示数随电流表示数的变化图象应分别为U-I图象中哪一条直线?
(2)定值电阻R、变阻器的总电阻R分别为多少?
(3)试求出电源的电动势和内阻.
【答案】分析:(1)当变阻器的滑动片向左移动时,变阻器接入电路的电阻减小,电路中电流增大,定值电阻R的电压增大,路端电压减小,来判断两个电压表的示数对应的图线.
(2)定值电阻R等于图线AC的斜率大小.由数学知识求出图线的斜率求解R.当滑动变阻器取最大值时,电流最小,由图读出电流的最小值,由欧姆定律求出变阻器的总电阻R.
(3)图线BC反映路端电压与电流的关系,其斜率大小等于电源的内阻,由数学知识求出电源的内阻.再闭合电路欧姆定律求出电源的电动势.
解答:解:(1)当变阻器的滑动片向左移动时,变阻器接入电路的电阻减小,电路中电流增大,定值电阻R的电压增大,路端电压减小,由图分析可得V1对应BC、V2对应AC.
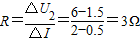
(2)由题意得:U2=IR,则
当滑动变阻器取最大值时,电流最小Imin=0.5A,
而UR=U1-U2=7.5-1.5=6V
所以
(3)因为U1=E-Ir,则内阻
所以E=U1+Ir=7.5+0.5×1=8V.
答:(1)电压表V1、V2的示数随电流表示数的变化图象应分别为U-I图象中:V1对应BC、V2对应AC.
(2)定值电阻R、变阻器的总电阻R分别为3Ω和12Ω.
(3)电源的电动势8V,内阻为1Ω.
点评:本题考查对物理图象的理解能力,可以把本题看成动态分析问题,来选择两电表示对应的图线.
(2)定值电阻R等于图线AC的斜率大小.由数学知识求出图线的斜率求解R.当滑动变阻器取最大值时,电流最小,由图读出电流的最小值,由欧姆定律求出变阻器的总电阻R.
(3)图线BC反映路端电压与电流的关系,其斜率大小等于电源的内阻,由数学知识求出电源的内阻.再闭合电路欧姆定律求出电源的电动势.
解答:解:(1)当变阻器的滑动片向左移动时,变阻器接入电路的电阻减小,电路中电流增大,定值电阻R的电压增大,路端电压减小,由图分析可得V1对应BC、V2对应AC.
(2)由题意得:U2=IR,则
当滑动变阻器取最大值时,电流最小Imin=0.5A,
而UR=U1-U2=7.5-1.5=6V
所以
(3)因为U1=E-Ir,则内阻
所以E=U1+Ir=7.5+0.5×1=8V.
答:(1)电压表V1、V2的示数随电流表示数的变化图象应分别为U-I图象中:V1对应BC、V2对应AC.
(2)定值电阻R、变阻器的总电阻R分别为3Ω和12Ω.
(3)电源的电动势8V,内阻为1Ω.
点评:本题考查对物理图象的理解能力,可以把本题看成动态分析问题,来选择两电表示对应的图线.
练习册系列答案
相关题目