题目内容
某人站在自动扶梯上,经过时间
从一楼升到二楼;如果自动扶梯不动,人沿扶梯从一楼走到二楼的时间为
;现使自动扶梯正常运动,人也保持原有速度沿扶梯向上走,则从一楼到二楼的时间为
[ ]
A.
B.
C.
D.
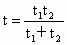
答案:C
解析:
解析:
|
设电梯的运行速度为
人在运行的电梯上同时行走所需时间 解得 |
练习册系列答案
相关题目