题目内容
从某高度水平抛出一小球,经过t时间到达地面时,速度方向与水平方向的夹角为θ.不计空气阻力,重力加速度为g,下列结论中正确的是( )A.小球初速度为gttanθ
B.若小球初速度增大,则平抛运动的时间变长
C.小球着地速度大小为
D.小球在t时间内的位移方向与水平方向的夹角为
【答案】分析:平抛运动在水平方向做匀速直线运动,在竖直方向做自由落体运动.落地的时间由高度决定,知道落地时间,即可知道落地时竖直方向上的速度,根据速度与水平方向的夹角,可求出落地的速度大小和水平初速度.
解答:解:A、落地时竖直方向上的速度vy=gt.因为速度方向与水平方向的夹角为θ,所以落地的速度大小
,小球的初速度v=vycotθ=gtcotθ.故A错误,C正确.
B、平抛运动的落地时间由高度决定,与初速度无关.故B错误.
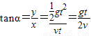
D、速度与水平方向夹角的正切值
,位移与水平方向夹角的正切值
,tanθ=2tanα.但
.故D错误.
故选C.
点评:解决本题的关键掌握平抛运动的处理方法,在水平方向做匀速直线运动,在竖直方向做自由落体运动.以及知道速度与水平方向夹角的正切值是位移与水平方向夹角的正切值的两倍.
解答:解:A、落地时竖直方向上的速度vy=gt.因为速度方向与水平方向的夹角为θ,所以落地的速度大小
B、平抛运动的落地时间由高度决定,与初速度无关.故B错误.
D、速度与水平方向夹角的正切值
故选C.
点评:解决本题的关键掌握平抛运动的处理方法,在水平方向做匀速直线运动,在竖直方向做自由落体运动.以及知道速度与水平方向夹角的正切值是位移与水平方向夹角的正切值的两倍.
练习册系列答案
相关题目