题目内容
三个质量分别为m1、m2、m3的小球,半径相同,并排悬挂在长度相同的三根竖直绳上,彼此恰好相互接触.现把质量为m1的小球拉开一些,如图中虚线所示,然后释放,经球1与球2、球2与球3相碰之后,三个球的动量相等.若各球间碰撞时均为弹性碰撞,且碰撞时间极短,不计空气阻力,则ml:m2:m3为( )A.6:3:1
B.2:3:1
C.2:1:1
D.3:2:1
【答案】分析:在小球碰撞前后总动量守恒,同时因为碰撞为弹性碰撞,故机械能守恒;联立可得出小球间质量关系.
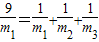
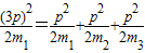
解答:解:因为各球间发生的碰撞是弹性碰撞,则碰撞过程机械能守恒,动量守恒.因碰撞后三个小球的动量相等,设其为p,则总动量为3p.由机械能守恒得
,即
,故满足该条件的只有选项A.
故选A.
点评:本题要注意灵活设出中间量p,从而得出正确的表达式,再由选择得出正确的条件.
解答:解:因为各球间发生的碰撞是弹性碰撞,则碰撞过程机械能守恒,动量守恒.因碰撞后三个小球的动量相等,设其为p,则总动量为3p.由机械能守恒得
故选A.
点评:本题要注意灵活设出中间量p,从而得出正确的表达式,再由选择得出正确的条件.
练习册系列答案
相关题目
A、
| ||||
B、2L+
| ||||
C、2L+
| ||||
D、2L+
|