题目内容
研究小车的匀变速运动,记录纸带如图所示,图中两计数点间有四个点未画出.已知打点计时器所用电源的频率为50Hz,则小车运动的加速度a=______m/s2,打P点时小车运动的v=______m/s.
【答案】分析:纸带实验中,若纸带匀变速直线运动,根据中间时刻速度等于一段过程中的平均速度可求出某点的瞬时速度,根据运动学公式△x=at2求得加速度.
解答:解:由于两相邻计数点间有四个点未画出,所以两相邻计数点时间间隔为0.1s
根据运动学公式得:△x=at2,
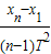
a=
=0.80m/s2
根据匀变速直线运动中时间中点的速度等于该过程中的平均速度,
图中第1、2两个点间的中间时刻速度大小等于
=
=0.21m/s
根据运动学公式v=v+at得
vp=
+a
=0.25 m/s
故答案为:0.80,0.25
点评:要提高应用匀变速直线的规律以及推论解答实验问题的能力,在平时练习中要加强基础知识的理解与应用.
解答:解:由于两相邻计数点间有四个点未画出,所以两相邻计数点时间间隔为0.1s
根据运动学公式得:△x=at2,
a=
根据匀变速直线运动中时间中点的速度等于该过程中的平均速度,
图中第1、2两个点间的中间时刻速度大小等于
根据运动学公式v=v+at得
vp=
故答案为:0.80,0.25
点评:要提高应用匀变速直线的规律以及推论解答实验问题的能力,在平时练习中要加强基础知识的理解与应用.
练习册系列答案
相关题目