题目内容
两点电荷间距离为r时,相互作用力为F,当距离变为r/2时,它们之间相互作用力为 F,为使作用力仍为F,则两点电荷的电量可同时为原来的 倍.
【答案】分析:本题考查了应用库仑定律公式解题能力,对题目中叙述的两种状态分别依据库仑定律公式列方程,即可求解结果.
解答:解:变化之前根据库仑定律有:F=
,
变化之后有:F′=
解得:F′=4F
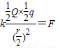
为使作用力仍为F,则:
即两点电荷的电量可同时为原来的
故答案为:4,
点评:本题考查库仑定律的直接应用,只需注意数值的变化即可顺利求出,属于简单基础题目.
解答:解:变化之前根据库仑定律有:F=
变化之后有:F′=
解得:F′=4F
为使作用力仍为F,则:
即两点电荷的电量可同时为原来的
故答案为:4,
点评:本题考查库仑定律的直接应用,只需注意数值的变化即可顺利求出,属于简单基础题目.
练习册系列答案
相关题目