题目内容
机动车驾驶执照考试的其中一个项目是定点停车:要求考生根据考官的指令在一路边标志杆旁停车.在一次练习中,车以一定速度匀速行驶,在距标志杆距离为s时,教练命令考生到标志杆停车,考生立即刹车,车在阻力f1作用下做匀减速直线运动,经一段时间,车刚好停在标志杆旁.第二次练习时,车以同样的初速度匀速行驶,教练在同样的位置命令考生到标志杆停车,考生迟了△t时间才刹车,最后车也刚好停在标志杆旁.已知车和人总质量为M,车视为质点.求:(1)车行驶的初速度是多少?
(2)第二次车做匀减速运动时受到的阻力f2是多少?
【答案】分析:(1)根据速度位移公式列式求解即可;
(2)对第二次减速过程运用运动学公式列式求加速度,再根据牛顿第二定律求阻力.
解答:解:(1)设初速度为v,第一次练习做匀减速运动
…①
解得
…②
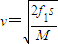
即车行驶的初速度是
.
(2)第二次练习做匀减速运动时加速度为a2,根据牛顿第二定律,有
f2=Ma2…③
根据运动学公式,有
…④
由②③④得
…⑤
即第二次车做匀减速运动时受到的阻力f2是
.
点评:本题关键对两次减速过程分别运用牛顿第二定律和运动学公式列式,然后联立方程组求解.
(2)对第二次减速过程运用运动学公式列式求加速度,再根据牛顿第二定律求阻力.
解答:解:(1)设初速度为v,第一次练习做匀减速运动
解得
即车行驶的初速度是
(2)第二次练习做匀减速运动时加速度为a2,根据牛顿第二定律,有
f2=Ma2…③
根据运动学公式,有
由②③④得
即第二次车做匀减速运动时受到的阻力f2是
点评:本题关键对两次减速过程分别运用牛顿第二定律和运动学公式列式,然后联立方程组求解.
练习册系列答案
相关题目