题目内容
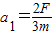
质量为m的物体在已知大小的水平恒力F的作用下由静止开始沿水平面运动,经时间t后撤去外力F,物体又经时间2t后重新静止.求:(1)求物体与地面的动摩擦系数;
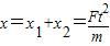
(2)物体发生的总位移.
【答案】分析:(1)根据牛顿第二定律求出匀加速直线运动和匀减速直线运动的加速度,根据匀加速直线运动和匀减速直线运动的加速度关系求出物体与地面间的动摩擦系数.
(2)根据匀变速直线运动的位移时间公式求出匀加速直线运动和匀减速直线运动的位移,从而得出总位移.
解答:解:(1)匀加速直线运动有:F-μmg=ma1
匀减速直线运动有-μmg=ma2
v=a1t 0=v+2a2t
由以上各式得:

答:物体与地面的动摩擦系数为
.
(2)根据匀变速直线运动的位移时间公式得,


答:物体发生的总位移
.
点评:加速度是联系力学和运动学的桥梁,通过加速度可以根据力求运动,也可以根据运动求力.
(2)根据匀变速直线运动的位移时间公式求出匀加速直线运动和匀减速直线运动的位移,从而得出总位移.
解答:解:(1)匀加速直线运动有:F-μmg=ma1
匀减速直线运动有-μmg=ma2
v=a1t 0=v+2a2t
由以上各式得:
答:物体与地面的动摩擦系数为
(2)根据匀变速直线运动的位移时间公式得,
答:物体发生的总位移
点评:加速度是联系力学和运动学的桥梁,通过加速度可以根据力求运动,也可以根据运动求力.
练习册系列答案
相关题目