题目内容
静止的氮核(
【答案】分析:根据甲乙动量相等,动能相等求出甲乙的速度大小之比和质量之比,根据洛伦兹力提供向心力,通过轨道半径关系得出电量的关系,通过甲乙电荷量总数、质量数总数,结合质量比、电量比得出甲乙的电荷数、质量数大小,从而确定甲乙为什么原子核.根据电荷数守恒、质量数守恒写出核反应方程,通过动量守恒定律求出甲乙两核的速度.
解答:解:设甲质量为m1速度v1,乙质量为m2速度v2,甲乙电量为q1和q2
∵m1v1=m2v2;
(已知)
∴v1:v2=1:4 则m1:m2=4:1
∴
,
由
∴
:
=1:6
∴q1:q2=6:1而q1+q2=7e
∴q1=6e,q2=e
∴甲为
C,乙为
H.
核反应方程
→
.
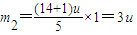
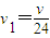
由动量守恒 mnv=m1v1+m2v2
∴
,
答:甲、乙分别是
C,
H.核反应方程
→
.甲乙的速度分别为
、
.
点评:本题综合考查了动能、动量、动量守恒定律、粒子在磁场中的轨道半径公式等,综合性较强,需加强训练.
解答:解:设甲质量为m1速度v1,乙质量为m2速度v2,甲乙电量为q1和q2
∵m1v1=m2v2;
∴v1:v2=1:4 则m1:m2=4:1
∴
由
∴
∴q1:q2=6:1而q1+q2=7e
∴q1=6e,q2=e
∴甲为
核反应方程
由动量守恒 mnv=m1v1+m2v2
∴
答:甲、乙分别是
点评:本题综合考查了动能、动量、动量守恒定律、粒子在磁场中的轨道半径公式等,综合性较强,需加强训练.
练习册系列答案
相关题目