ÌâÄ¿ÄÚÈÝ
Ëæ×ÅÊÀ½çº½¿ÕÊÂÒµµÄ·¢Õ¹£¬ÉîÌ«¿Õ̽²âÒÑÖð½¥³ÉΪ¸÷¹ú¹Ø×¢µÄÈȵ㣮¼ÙÉèÉîÌ«¿ÕÖÐÓÐÒ»¿ÅÍâÐÇÇò£¬ÖÊÁ¿ÊǵØÇòÖÊÁ¿µÄ2±¶£¬°ë¾¶ÊǵØÇò°ë¾¶µÄA£®¸ÃÍâÐÇÇòµÄͬ²½ÎÀÐÇÖÜÆÚÒ»¶¨Ð¡ÓÚµØÇòͬ²½ÎÀÐÇÖÜÆÚ
B£®Ä³ÎïÌåÔÚ¸ÃÍâÐÇÇò±íÃæÉÏËùÊÜÖØÁ¦ÊÇÔÚµØÇò±íÃæÉÏËùÊÜÖØÁ¦µÄ8±¶
C£®¸ÃÍâÐÇÇòÉϵÚÒ»ÓîÖæËÙ¶ÈÊǵØÇòÉϵÚÒ»ÓîÖæËٶȵÄ2±¶
D£®ÈƸÃÍâÐÇÇòµÄÈËÔìÎÀÐǺÍÒÔÏàͬ¹ìµÀ°ë¾¶ÈƵØÇòµÄÈËÔìÎÀÐÇÔËÐÐËÙ¶ÈÏàͬ
¡¾´ð°¸¡¿·ÖÎö£º¸ù¾ÝÍòÓÐÒýÁ¦ÌṩÏòÐÄÁ¦¹«Ê½Áм°Í¬²½ÎÀÐǵÄÏà¹ØÖªÊ¶¼´¿É·ÖÎö£®
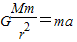
½â´ð£º½â£ºA¡¢¸ù¾Ý
½âµÃ£ºT=
¶ø²»ÖªµÀͬ²½ÎÀÐǹìµÀ°ë¾¶µÄ¹ØÏµ£¬ËùÒÔÎÞ·¨±È½Ï¸ÃÍâÐÇÇòµÄͬ²½ÎÀÐÇÖÜÆÚÓëµØÇòͬ²½ÎÀÐÇÖÜÆÚ¹ØÏµ£¬¹ÊA´íÎó£»
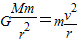
B¡¢¸ù¾Ý
½âµÃ£ºa=
ËùÒÔ
£¬¹ÊBÕýÈ·£»
C¡¢¸ù¾Ý
½âµÃ£ºv=
£¬ËùÒÔ
£¬¹ÊCÕýÈ·£»
D¡¢¸ù¾ÝC·ÖÎö¿ÉÖª£ºv=
£¬¹ìµÀ°ë¾¶rÏàͬ£¬µ«ÖÊÁ¿²»Í¬£¬ËùÒÔËÙ¶ÈÒ²²»Ò»Ñù£¬¹ÊD´íÎó£®
¹ÊÑ¡BC
µãÆÀ£ºÁ˽âµÚÒ»ÓîÖæËÙ¶ÈÊǽüµØÎÀÐǵĻ·ÈÆËÙ¶È£¬Ò²ÊÇ×î´óµÄÔ²ÖÜÔ˶¯µÄ»·ÈÆËÙ¶È£®
Òª±È½ÏÒ»¸öÎïÀíÁ¿´óС£¬ÎÒÃÇ¿ÉÒÔ°ÑÕâ¸öÎïÀíÁ¿Ïȱíʾ³öÀ´£¬ÔÚ½øÐбȽϣ®
½â´ð£º½â£ºA¡¢¸ù¾Ý
½âµÃ£ºT=
¶ø²»ÖªµÀͬ²½ÎÀÐǹìµÀ°ë¾¶µÄ¹ØÏµ£¬ËùÒÔÎÞ·¨±È½Ï¸ÃÍâÐÇÇòµÄͬ²½ÎÀÐÇÖÜÆÚÓëµØÇòͬ²½ÎÀÐÇÖÜÆÚ¹ØÏµ£¬¹ÊA´íÎó£»
B¡¢¸ù¾Ý
½âµÃ£ºa=
ËùÒÔ
C¡¢¸ù¾Ý
D¡¢¸ù¾ÝC·ÖÎö¿ÉÖª£ºv=
¹ÊÑ¡BC
µãÆÀ£ºÁ˽âµÚÒ»ÓîÖæËÙ¶ÈÊǽüµØÎÀÐǵĻ·ÈÆËÙ¶È£¬Ò²ÊÇ×î´óµÄÔ²ÖÜÔ˶¯µÄ»·ÈÆËÙ¶È£®
Òª±È½ÏÒ»¸öÎïÀíÁ¿´óС£¬ÎÒÃÇ¿ÉÒÔ°ÑÕâ¸öÎïÀíÁ¿Ïȱíʾ³öÀ´£¬ÔÚ½øÐбȽϣ®
Á·Ï°²áϵÁдð°¸
Ïà¹ØÌâÄ¿