题目内容
已知地球半径为R,地球表面的重力加速度为g,地球自转的周期为T,试求地球同步卫星的向心加速度大小.
【答案】分析:根据牛顿第二定律,结合万有引力定律,即可求解.
解答:解:设卫星离地面高度为h,
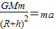
根据牛顿第二定律,则有
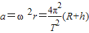
又
因
由以上三式解得
答:地球同步卫星的向心加速度大小
.
点评:考查万有引力定律、牛顿第二定律及匀速圆周运动的向心加速度的公式的应用,注意式中的半径取值.
解答:解:设卫星离地面高度为h,
根据牛顿第二定律,则有
又
因
由以上三式解得
答:地球同步卫星的向心加速度大小
点评:考查万有引力定律、牛顿第二定律及匀速圆周运动的向心加速度的公式的应用,注意式中的半径取值.
练习册系列答案
相关题目