题目内容
如图所示,平行正对金属板相距为d,板长为L,板间电压为U,C是宽为d的挡板,其上下两端点与A和B板水平相齐,且C离金属板与屏S的距离均为(1)带电粒子到达屏S上的宽度;
(2)初动能多大的粒子能到达屏上.
【答案】分析:(1)从右侧飞出延长线相交与电场的粒子,其速度的反向延长线与粒子射入方向恰相交于两极板的正中央O1点,然后根据几何关系列式求解.
(2)粒子初速度过大会打在挡板上,初速度过小会打在极板上;找出临界状态,运用正交分解法,结合分位移公式、分速度公式、速度偏转角公式列式后联立求解即可.
解答:解:
(1)带电粒子进入电场后做类平抛运动,从右侧飞出电场后做匀速直线运动,这时速度方向的反向延长线与粒子射入方向恰相交于两极板的正中央O1点,如图所示.
带电粒子到达屏S上的宽度为A´B´,由图可知:
A´B´=O´B´-O´A´
由几何关系:
=
得O´B´=
=
得O´A´=
故带电粒子到达屏S上的宽度为
.
所以A´B´=
=
,即带电粒子到达屏S上的宽度为
.
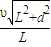
(2)设从偏转电场边缘射出的粒子偏向角为θ1,由几何关系有:
tgθ1=
=
=
,cosθ1=
,
则该粒子射出电场的速度υt1=
=
,
由动能定理得:
=
mυt2-
mυ2=
mυ 2 (
)
所以此粒子的动能为
mυ 2=
.
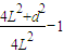
设从挡板边缘射出的粒子偏向角为θ2,由几何关系有:
tgθ2=
=
=d
,cosθ2=
,
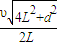
则该粒子射出电场的速度υt2=
=
,
由动能定理得:
=
mυt22-
mυ2=
mυ 2 (
)
所以此粒子的动能为
mυ 2=
.
所以,初动能满足
<EK<
的粒子能到达屏上.
点评:本题考查带电粒子在电场中运动问题的处理方法.带电粒子在电场中偏转,飞出电场后的速度方向的反向延长线交于两板间的中心点,这是一个重要的推论.
(2)粒子初速度过大会打在挡板上,初速度过小会打在极板上;找出临界状态,运用正交分解法,结合分位移公式、分速度公式、速度偏转角公式列式后联立求解即可.
解答:解:
带电粒子到达屏S上的宽度为A´B´,由图可知:
A´B´=O´B´-O´A´
由几何关系:
故带电粒子到达屏S上的宽度为
所以A´B´=
(2)设从偏转电场边缘射出的粒子偏向角为θ1,由几何关系有:
tgθ1=
则该粒子射出电场的速度υt1=
由动能定理得:
所以此粒子的动能为
设从挡板边缘射出的粒子偏向角为θ2,由几何关系有:
tgθ2=
则该粒子射出电场的速度υt2=
由动能定理得:
所以此粒子的动能为
所以,初动能满足
点评:本题考查带电粒子在电场中运动问题的处理方法.带电粒子在电场中偏转,飞出电场后的速度方向的反向延长线交于两板间的中心点,这是一个重要的推论.
练习册系列答案
相关题目
如图所示,两平行正对金属板AB间加有如图乙所示的交变电压,某时刻,将一重力可忽略不计的带正电粒子在两板的正中间P处无初速度释放,则下列说法正确的是( )![]()
![]()
| A.若带电粒子在t=0时刻释放,它将一直向着B板运动,最终打在B板上 |
| B.若带电粒子在t=0时刻释放,它将时而向B板运动,时而向A板运动,不会打到板上 |
| C.若带电粒子在t=T/8时刻进入的,它可能时而向B板运动,时而向A板运动,最终打在B板上 |
| D.若带电粒子在t=T/8时刻进入的,它可能时而向B板运动,时而向A板运动,最终打在A板上 |