题目内容
(1)t时刻流过导体棒的电流强度I和电流方向.
(2)导体棒作匀速直线运动时水平外力F的表达式.
(3)导体棒在0~t时间内产生的焦耳热Q.
(4)若在t时刻将外力F撤去,导体棒最终在导轨上静止时的坐标x.
【答案】分析:(1)求出t时刻导体棒的有效长度,结合切割产生的感应电动势和闭合电路欧姆定律求出电流强度的大小,根据右手定则求出电流的方向.
(2)当导体棒做匀速直线运动时,水平外力等于安培力,根据平衡求出水平拉力的表达式.
(3)导体棒在0~t时间内电流大小恒定,抓住R与时间正比,通过平均功率,根据Q=Pt求出产生的焦耳热Q.
(4)根据动量定理,结合微分思想、运动学公式求出在t时刻将外力F撤去,导体棒最终在导轨上静止时的坐标x.
解答:解:(1)0到t时间内,导体棒的位移x=vt
t时刻,导体棒长度l=x
导体棒的电动势 E=Blv
回路总电阻 R=(2x+
)r
电流强度 I=
电流方向为b到a.
(2)匀速直线运动时,安培力等于拉力.
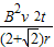
F=BlI=
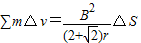
(3)t时刻导体棒的电功率 P=I2R′
由于I恒定,R′=vrt正比于t
因此
=I2
=
I2 R′
Q=
t=
(4)撤去外力后,设任意时刻t导体棒的坐标为x,速度为v,取很短时间△t或很短距离△x

在t~t+△t时间内,由动量定理得
BlI△t=m△v
(lv△t)=
=mv
扫过面积△S=
=
(x=vt)得
x=
或设滑行距离为d
则△S=
即d2+2vtd-2△S=0
解之 d=-vt+
得x=vt+d=
=
答:(1)t时刻流过导体棒的电流强度I为
,电流方向为b到a.
(2)导体棒作匀速直线运动时水平外力F的表达式为F=
.
(3)导体棒在0~t时间内产生的焦耳热Q=
.
(4)导体棒最终在导轨上静止时的坐标x=
.
点评:本题综合考查了切割产生的感应电动势、闭合电路欧姆定律、牛顿第二定律等知识点,综合性较强,尤其在第四问,对学生能力要求较高.
(2)当导体棒做匀速直线运动时,水平外力等于安培力,根据平衡求出水平拉力的表达式.
(3)导体棒在0~t时间内电流大小恒定,抓住R与时间正比,通过平均功率,根据Q=Pt求出产生的焦耳热Q.
(4)根据动量定理,结合微分思想、运动学公式求出在t时刻将外力F撤去,导体棒最终在导轨上静止时的坐标x.
解答:解:(1)0到t时间内,导体棒的位移x=vt
t时刻,导体棒长度l=x
导体棒的电动势 E=Blv
回路总电阻 R=(2x+
电流强度 I=
电流方向为b到a.
(2)匀速直线运动时,安培力等于拉力.
F=BlI=
(3)t时刻导体棒的电功率 P=I2R′
由于I恒定,R′=vrt正比于t
因此
Q=
(4)撤去外力后,设任意时刻t导体棒的坐标为x,速度为v,取很短时间△t或很短距离△x
在t~t+△t时间内,由动量定理得
BlI△t=m△v
扫过面积△S=
x=
或设滑行距离为d
则△S=
即d2+2vtd-2△S=0
解之 d=-vt+
得x=vt+d=
答:(1)t时刻流过导体棒的电流强度I为
(2)导体棒作匀速直线运动时水平外力F的表达式为F=
(3)导体棒在0~t时间内产生的焦耳热Q=
(4)导体棒最终在导轨上静止时的坐标x=
点评:本题综合考查了切割产生的感应电动势、闭合电路欧姆定律、牛顿第二定律等知识点,综合性较强,尤其在第四问,对学生能力要求较高.
练习册系列答案
相关题目