ÌâÄ¿ÄÚÈÝ
»ØÐý¼ÓËÙÆ÷ÊÇ»ñµÃ¸ßÄÜ´øµçÁ£×ÓµÄ-ÖÖ×°Öã¬ÆäºËÐIJ¿·ÖÊÇ·Ö±ðÓë¸ßƵ½»Á÷µçÔ´µÄÁ½¼«ÏàÁ¬µÄÁ½¸öDÐκУ¬Á½ºÐ¼äµÄÏÁ·ìÖÐÐγÉÖÜÆÚÐԱ仯µÄµç³¡£¬Ê¹Á£×ÓÔÚͨ¹ýÏÁ·ìʱ¶¼Äܵõ½¼ÓËÙ£¬Á½DÐνðÊôºÐ´¦ÓÚ´¹Ö±Óںе׵ÄÔÈÇ¿´Å³¡ÖУ¬Èçͼ£¬ÏÂÁÐ˵·¨ÕýÈ·µÄÊÇ£¨ £©A£®Á½DÐνðÊôºÐÖ®¼äµÄµçѹԽ´ó£¬´øµçÁ£×Ó´ÓDÐκÐÉä³öʱµÄ¶¯ÄÜÔ½´ó
B£®Á½DÐνðÊôºÐµÄ°ë¾¶Ô½´ó£¬´øµçÁ£×Ó´ÓDÐκÐÖÐÉäɽʱµÄ¶¯ÄÜÔ½´ó
C£®¸ßƵ½»Á÷µÄÖÜÆÚÊÇ´øµçÁ£×Ó×öÔ²ÖÜÔ˶¯ÖÜÆÚµÄ2±¶
D£®Í¬Ò»»ØÐý¼ÓËÙÆ÷¶Ô±ÈºÉ²»Í¬µÄ´øµçÁ£×Ó¼ÓËÙ£¬Òªµ÷½Ú¸ßƵ½»Á÷µÄƵÂÊ
¡¾´ð°¸¡¿·ÖÎö£º»ØÐý¼ÓËÙÆ÷ÀûÓõ糡¼ÓËٺʹų¡Æ«×ªÀ´¼ÓËÙÁ£×Ó£¬Á£×ÓÔڴų¡ÖÐÔ˶¯µÄÖÜÆÚµÈÓÚ½»Á÷µçµÄÖÜÆÚ£¬µ±Á£×Ó´ÓDÐκгöÀ´Ê±ËÙ¶È×î´ó£®
½â´ð£º½â£ºA¡¢¸ù¾Ý
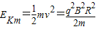
£¬µÃv=
£¬Ôò×î´ó¶¯ÄÜ
£¬Óë½ðÊôºÐÖ®¼äµÄµçѹÎ޹أ¬ÓëDÐνðÊôºÐµÄ°ë¾¶Óйأ¬°ë¾¶Ô½´ó£¬¶¯ÄÜÔ½´ó£®¹ÊA´íÎó£¬BÕýÈ·£®
C¡¢Á£×ÓÔڴų¡ÖÐÔ˶¯µÄÖÜÆÚµÈÓÚ½»Á÷µçµÄÖÜÆÚ£®¹ÊC´íÎó£®
D¡¢¸ù¾Ý
£¬±ÈºÉ²»Í¬£¬ÔòÁ£×ÓÔڴų¡ÖеÄÖÜÆÚ±ä»¯£¬Á£×ÓÔڴų¡ÖÐÔ˶¯µÄÖÜÆÚµÈÓÚ½»Á÷µçµÄÖÜÆÚ£¬ÔòÒªµ÷½Ú¸ßƵ½»Á÷µçµÄƵÂÊ£®¹ÊDÕýÈ·£®
¹ÊÑ¡BD£®
µãÆÀ£º½â¾ö±¾ÌâµÄ¹Ø¼üÖªµÀ»ØÐý¼ÓËÙÆ÷ÀûÓõ糡¼ÓËٺʹų¡Æ«×ªÀ´¼ÓËÙÁ£×Ó£¬ÒÔ¼°ÖªµÀÁ£×ÓÔڴų¡ÖÐÔ˶¯µÄÖÜÆÚµÈÓÚ½»Á÷µçµÄÖÜÆÚ£®
½â´ð£º½â£ºA¡¢¸ù¾Ý
C¡¢Á£×ÓÔڴų¡ÖÐÔ˶¯µÄÖÜÆÚµÈÓÚ½»Á÷µçµÄÖÜÆÚ£®¹ÊC´íÎó£®
D¡¢¸ù¾Ý
¹ÊÑ¡BD£®
µãÆÀ£º½â¾ö±¾ÌâµÄ¹Ø¼üÖªµÀ»ØÐý¼ÓËÙÆ÷ÀûÓõ糡¼ÓËٺʹų¡Æ«×ªÀ´¼ÓËÙÁ£×Ó£¬ÒÔ¼°ÖªµÀÁ£×ÓÔڴų¡ÖÐÔ˶¯µÄÖÜÆÚµÈÓÚ½»Á÷µçµÄÖÜÆÚ£®
Á·Ï°²áϵÁдð°¸
Ïà¹ØÌâÄ¿
»ØÐý¼ÓËÙÆ÷ÊÇ»ñµÃ¸ßÄÜ´øµçÁ£×ÓµÄ×°Öã¬ÆäºËÐIJ¿·ÖÊÇ·Ö±ðÓë¸ßƵ½»Á÷µçÔ´µÄÁ½¼«ÏàÁ¬½ÓµÄÁ½¸öDÐνðÊôºÐ£¬Á½ºÐ¼äµÄÏÁ·ìÖÐÐγÉÖÜÆÚÐԱ仯µÄµç³¡£¬Ê¹Á£×ÓÔÚͨ¹ýÏÁ·ìʱ¶¼Äܵõ½¼ÓËÙ£¬Á½DÐνðÊôºÐ´¦ÓÚ´¹Ö±Óںе׵ÄÔÈÇ¿´Å³¡ÖУ¬Èçͼ8Ëùʾ£®ÈôÒªÔö´ó´øµçÁ£×Ó´ÓDÐκÐÖÐÉä³öʱµÄ¶¯ÄÜ£¬¿É²ÉÓõķ½·¨ÊÇ£¨ £©![]()
| A£®Ôö´ó´Å³¡µÄ´Å¸ÐӦǿ¶È |
| B£®Ôö´óµç³¡µÄ¼ÓËÙµçѹ |
| C£®Ôö´óÏÁ·ìµÄ¾àÀë |
| D£®Ôö´óDÐνðÊôºÐµÄ°ë¾¶ |