题目内容
若人造卫星绕地球做匀速圆周运动,则离地面越近的卫星( )A.线速度越小
B.角速度越小
C.周期越小
D.加速度越小
【答案】分析:需要列出卫星涉及的万有引力充当向心力的,由关线速度,角速度,周期,以及加速度的表达式,由此可以得到对应的结果.
解答:解:
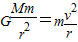
A:由
解得:
,半径越小,线速度越大,离地面越近的卫星,线速度越大.故A错误
B:由
ω2解得:ω=
,半径越小,角速度越大,离地面越近的卫星,角速度越大,故B错误
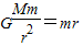
C:由
解得:T=2
,半径越小,周期越大,离地面越近的卫星,周期越小,故C正确
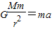
D:由
解得:
,半径越小,向心加速度越大,离地面越近的卫星,向心加速度越大,故D错误
故选C
点评:重点是要熟练掌握卫星涉及的圆周运动中万有引力充当向心力的各种表达式,并会熟练应用.本题作为选择题,由个结论需要记住:除了卫星周期是随半径增大而增大之外,其余都是随半径的增大而减小.这个结论在选择题中可以很大的节约解题时间,但也不能因此就忽略具体表达式的形式,表达式也需要牢记.
解答:解:
A:由
B:由
C:由
D:由
故选C
点评:重点是要熟练掌握卫星涉及的圆周运动中万有引力充当向心力的各种表达式,并会熟练应用.本题作为选择题,由个结论需要记住:除了卫星周期是随半径增大而增大之外,其余都是随半径的增大而减小.这个结论在选择题中可以很大的节约解题时间,但也不能因此就忽略具体表达式的形式,表达式也需要牢记.
练习册系列答案
相关题目