题目内容
火星直径约为地球的一半,质量约为地球的十分之一,它绕太阳公转的轨道半径约为地球公转半径的1.5倍.根据以上数据,以下说法正确的是( )A.火星表面重力加速度的数值比地球表面小
B.火星公转的周期比地球的长
C.火星公转的线速度比地球的大
D.火星公转的向心加速度比地球的大
【答案】分析:根据万有引力等于重力表示出重力加速度,再去进行比较.
研究火星和地球绕太阳公转,根据万有引力提供向心力,列出等式再去进行比较.
解答:解:A、根据万有引力等于重力得出:
得:
,根据火星直径约为地球的一半,质量约为地球的十分之一,
计算得出火星表面的重力加速度约为地球表面的
,故A正确;
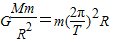
B、研究火星和地球绕太阳公转,根据万有引力提供向心力得出:
得:
,M为太阳的质量,R为轨道半径.火星的轨道半径大于地球的轨道半径,
通过T的表达式发现公转轨道半径大的周期长,故B正确;
C、研究火星和地球绕太阳公转,根据万有引力提供向心力得出:
=m
,得:v=
.M为太阳的质量,R为轨道半径.火星的轨道半径大于地球的轨道半径,
通过v的表达式发现公转轨道半径大的线速度小,故C错误;
D、研究火星和地球绕太阳公转,根据万有引力提供向心力得出:
=ma,得:
.M为太阳的质量,R为轨道半径.火星的轨道半径大于地球的轨道半径,
通过a的表达式发现公转轨道半径大的向心加速度小,故D错误;
故选AB.
点评:要比较一个物理量大小,我们应该把这个物理量先表示出来,在进行比较.
向心力的公式选取要根据题目提供的已知物理量或所求解的物理量选取应用.
研究火星和地球绕太阳公转,根据万有引力提供向心力,列出等式再去进行比较.
解答:解:A、根据万有引力等于重力得出:
计算得出火星表面的重力加速度约为地球表面的
B、研究火星和地球绕太阳公转,根据万有引力提供向心力得出:
通过T的表达式发现公转轨道半径大的周期长,故B正确;
C、研究火星和地球绕太阳公转,根据万有引力提供向心力得出:
通过v的表达式发现公转轨道半径大的线速度小,故C错误;
D、研究火星和地球绕太阳公转,根据万有引力提供向心力得出:
通过a的表达式发现公转轨道半径大的向心加速度小,故D错误;
故选AB.
点评:要比较一个物理量大小,我们应该把这个物理量先表示出来,在进行比较.
向心力的公式选取要根据题目提供的已知物理量或所求解的物理量选取应用.
练习册系列答案
相关题目