题目内容

长为L的金属棒原来不带电,现将一带电荷量为q的正电荷放在距棒左端R处,将一带电荷量为q的负点电荷放在距棒右端R处,如图所示,当达到静电平衡时,棒上感应电荷在棒内中点O处产生的电场强度的大小为______,方向______(填向左或右)。

 

 

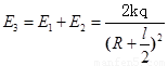
【答案】

,水平向左

【解析】

试题分析:中点O处有三个电场,一个正点电荷产生的电场,方向向右,负点电荷产生的电场,方向向右,还有一个感应电荷产生的电场,静电平衡导体内部三个电场的合场强等于0,即,方向水平向左。

考点:静电平衡

 

练习册系列答案
相关题目

违法和不良信息举报电话:027-86699610 举报邮箱:58377363@163.com

精英家教网