题目内容
如图所示,A、B两盏电灯的额定电压都为110V,额定功率分别为PA=25W,PB=100W.把它们接到220V的电路上,下面四种接法中,两灯不可能正常发光的是( )A.
B.
C.
D.
【答案】分析:(1)根据串联电路电阻的分压特点可知,电压相等时,电阻也要相等.
(2)已知电源电压相等,根据公式P=
可知,电路中电阻越大.消耗的功率就越小,先根据公式R=
分别求出灯泡A和灯泡B的电阻,再求出A、B、C图总电阻进行比较,即可得出结论.
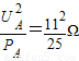
解答:解:根据公式P=
可知,灯泡A的电阻RA=
=484Ω,
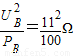
灯泡B的电阻RB=
=121Ω.
A、图是灯泡B和可变电阻并联后又和灯泡A串联,灯泡要想正常工作,必须满足灯泡B与可变电阻并联后和灯泡A的电阻相等;并联电路,电阻更小;故灯泡A和灯泡B不能正常工作时,故A可选;
B、图是灯泡A和可变电阻并联后又和灯泡B串联,灯泡要想正常工作,必须满足灯泡A与可变电阻R并联后和灯泡B的电阻相等;但并联电路中,电阻越并越小,小于任何一个分电阻,所以此电路中灯泡A和灯泡B能正常工作,故B不选;
C、图是灯泡A和可变电阻串联,根据串联电路电阻的分压特点可知,要使灯泡A正常工作,则可变电阻接入与A等值的电阻,而与B灯泡接入等值的电阻,因此可以正常工作,故C不选;
D、图是灯泡A和灯泡B并联后又与可变电阻串联,灯泡要想正常工作,必须满足灯泡A与灯泡B并联后和可变电阻R的阻值相等;通过调节电阻,使两灯泡的电压为110V,可以正常发光,故D不选;
故选A.
点评:本题考查电功率的计算和串、并联电路电阻的计算,关键是电功率公式及其变形的灵活运用,重点知道串联电路总电阻大于任何一个串联的电阻,并联电路的总电阻小于任何一个并联的电阻.
(2)已知电源电压相等,根据公式P=
解答:解:根据公式P=
灯泡B的电阻RB=
A、图是灯泡B和可变电阻并联后又和灯泡A串联,灯泡要想正常工作,必须满足灯泡B与可变电阻并联后和灯泡A的电阻相等;并联电路,电阻更小;故灯泡A和灯泡B不能正常工作时,故A可选;
B、图是灯泡A和可变电阻并联后又和灯泡B串联,灯泡要想正常工作,必须满足灯泡A与可变电阻R并联后和灯泡B的电阻相等;但并联电路中,电阻越并越小,小于任何一个分电阻,所以此电路中灯泡A和灯泡B能正常工作,故B不选;
C、图是灯泡A和可变电阻串联,根据串联电路电阻的分压特点可知,要使灯泡A正常工作,则可变电阻接入与A等值的电阻,而与B灯泡接入等值的电阻,因此可以正常工作,故C不选;
D、图是灯泡A和灯泡B并联后又与可变电阻串联,灯泡要想正常工作,必须满足灯泡A与灯泡B并联后和可变电阻R的阻值相等;通过调节电阻,使两灯泡的电压为110V,可以正常发光,故D不选;
故选A.
点评:本题考查电功率的计算和串、并联电路电阻的计算,关键是电功率公式及其变形的灵活运用,重点知道串联电路总电阻大于任何一个串联的电阻,并联电路的总电阻小于任何一个并联的电阻.
练习册系列答案
相关题目
| A、刚一接通S2,A灯就立即亮,而B灯则迟延一段时间才亮 | B、刚接通S2时,线圈L中的电流不为零 | C、接通S2以后,A灯变亮,B灯由亮变暗 | D、断开S2时,A灯立即熄灭,B灯先亮一下然后熄灭 |