ÌâÄ¿ÄÚÈÝ
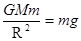
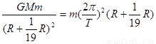
2012Äê6ÔÂ18ÈÕ£¬¡°ÉñÖ۾źš±·É´¬Óë¡°Ì칬һºÅ¡±Ä¿±ê·ÉÐÐÆ÷³É¹¦ÊµÏÖ×Ô¶¯½»»á¶Ô½Ó¡£ÉèµØÇò°ë¾¶ÎªR£¬µØÃæÖØÁ¦¼ÓËÙ¶ÈΪg¡£¶Ô½Ó³É¹¦ºó¡°ÉñÖݾźš±ºÍ¡°Ì칬һºÅ¡±Ò»ÆðÈÆµØÇòÔËÐеĹìµÀ¿ÉÊÓΪԲ¹ìµÀ£¬¹ìµÀÀëµØÃæ¸ß¶ÈԼΪ
£¬ÔËÐÐÖÜÆÚΪT£¬ÒýÁ¦³£Á¿ÎªG£¬Ôò
A£®¶Ô½Ó³É¹¦ºó£¬¡°ÉñÖ۾źš±·É´¬ÀïµÄÓԱÊܵ½µÄÖØÁ¦ÎªÁã
B£®¶Ô½Ó³É¹¦ºó£¬¡°ÉñÖ۾źš±·É´¬µÄ¼ÓËÙ¶ÈΪ
g
C£®¶Ô½Ó³É¹¦ºó£¬¡°ÉñÖ۾źš±·É´¬µÄÏßËÙ¶ÈΪ![]()
D£®µØÇòÖÊÁ¿Îª
3
R2
¡¾´ð°¸¡¿
C
¡¾½âÎö¡¿
ÊÔÌâ·ÖÎö£º·É´¬ÀïÔËÐÐʱÓԱÈÔÊܵ½ÖØÁ¦×÷Óã¬A´í£»ÓÉ
ºÍ
£¬¼ÆËãµÃ¼ÓËÙ¶Èa=
g£¬B´í£»ÓÉV=
r=
=
,¹ÊCÕýÈ·£»ÓÉ
¼ÆËã¿ÉÖªD´í¡£¹Ê±¾ÌâÑ¡ÔñC
¿¼µã£ºÍòÓÐÒýÁ¦¶¨Âɼ°ÆäÓ¦ÓÃ
Á·Ï°²áϵÁдð°¸
Ïà¹ØÌâÄ¿
2012Äê6ÔÂ18ÈÕ£¬¡°ÉñÖ۾źš±·É´¬Óë¡°Ì칬һºÅ¡±Ä¿±ê·ÉÐÐÆ÷³É¹¦ÊµÏÖ×Ô¶¯½»»á¶Ô½Ó£®ÉèµØÇò°ë¾¶ÎªR£¬µØÇò±íÃæÖØÁ¦¼ÓËÙ¶ÈΪg£®¶Ô½Ó³É¹¦ºó¡°ÉñÖ۾źš±ºÍ¡°Ì칬һºÅ¡±Ò»ÆðÈÆµØÇòÔËÐеĹìµÀ¿ÉÊÓΪԲ¹ìµÀ£¬¹ìµÀÀëµØÇò±íÃæ¸ß¶ÈԼΪ
R£¬ÔËÐÐÖÜÆÚΪT£¬Ôò£¨¡¡¡¡£©
| 1 |
| 19 |
A¡¢µØÇòÖÊÁ¿Îª£¨
| ||||
B¡¢¶Ô½Ó³É¹¦ºó£¬¡°ÉñÖ۾źš±·É´¬µÄÏßËÙ¶ÈΪ
| ||||
| C¡¢¶Ô½Ó³É¹¦ºó£¬¡°ÉñÖ۾źš±·É´¬ÀïµÄÓԱÊܵ½µÄÖØÁ¦ÎªÁã | ||||
| D¡¢¶Ô½Ó³É¹¦ºó£¬¡°ÉñÖ۾źš±·É´¬µÄ¼ÓËÙ¶ÈΪg |