题目内容
天文学上把两个相距较近,由于彼此的引力作用而沿各自的轨道互相环绕旋转的恒星系统称为“双星”系统,设一双星系统中的两个子星保持距离不变,共同绕着连线上的某一点以不同的半径做匀速圆周运动,则( )A.两子星的角速度的大小一定相等
B.两子星的半径跟质量成正比
C.两子星的向心加速度的大小跟质量成正比
D.两子星的线速度的大小跟质量成正比
【答案】分析:双星彼此间的万有引力充当对方的向心力,且两天体一定在同一直线上,角速度相等.
解答:解:A、双星系统中的两个子星保持距离不变,两星绕同一点转动,故两星一直在同一直线上,故角速度相等,故A正确;
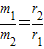
B、双星间的万有引力提供向心力,故m1ω2r1=m2ω2r2,故
,故B错误;
C、由于向心力相同,根据a=
,两子星的向心加速度的大小跟质量成反比,故C错误;
D、由于向心力相同,根据m1v1ω=m2v2ω,故两子星的线速度的大小跟质量成反比,故D错误;
故选A.
点评:双星问题要把握住双星的特点:彼此间的万有引力充当向心力,并且只能绕同一点做圆周运动.
解答:解:A、双星系统中的两个子星保持距离不变,两星绕同一点转动,故两星一直在同一直线上,故角速度相等,故A正确;
B、双星间的万有引力提供向心力,故m1ω2r1=m2ω2r2,故
C、由于向心力相同,根据a=
D、由于向心力相同,根据m1v1ω=m2v2ω,故两子星的线速度的大小跟质量成反比,故D错误;
故选A.
点评:双星问题要把握住双星的特点:彼此间的万有引力充当向心力,并且只能绕同一点做圆周运动.
练习册系列答案
相关题目