题目内容
2011年8月10日,改装后的瓦良格号航空母舰进行出海航行试验,中国成为拥有航空母舰的国家之一.已知该航空母舰飞行甲板长度为L=300m,某种战斗机在航空母舰上起飞过程中的最大加速度为a=4.5m/s2,飞机速度要达到v=60m/s才能安全起飞.(1)如果航空母舰静止,战斗机被弹射装置弹出后开始加速,要保证飞机起飞安全,战斗机被弹射装置弹出时的速度至少是多大?
(2)如果航空母舰匀速前进,在没有弹射装置的情况下,要保证飞机安全起飞,航空母舰前进的速度至少是多大?
【答案】分析:(1)根据匀变速直线运动的速度位移公式求出战斗机被弹射装置弹出时的最小速度.
(2)根据匀变速直线运动的速度位移公式,抓住战斗机的位移等于甲板长度加上航空母舰的位移,求出航空母舰的最小速度.
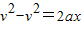
解答:解:(1)设战斗机被弹射出来时的速度为v,由
得
=30m/s
(2)设飞机起飞所用的时间为t,在时间t内航空母舰航行的距离为L1,航空母舰的最小速度为v1.
对航空母舰有:L1=v1t
对飞机有:v=v1+at

由以上三式联立解得
.
(1)战斗机被弹射装置弹出时的速度至少是30m/s.
(2)航空母舰前进的速度至少是8m/s.
点评:解决本题的关键掌握匀变速直线运动的运动学公式,并能灵活运用.
(2)根据匀变速直线运动的速度位移公式,抓住战斗机的位移等于甲板长度加上航空母舰的位移,求出航空母舰的最小速度.
解答:解:(1)设战斗机被弹射出来时的速度为v,由
(2)设飞机起飞所用的时间为t,在时间t内航空母舰航行的距离为L1,航空母舰的最小速度为v1.
对航空母舰有:L1=v1t
对飞机有:v=v1+at
由以上三式联立解得
(1)战斗机被弹射装置弹出时的速度至少是30m/s.
(2)航空母舰前进的速度至少是8m/s.
点评:解决本题的关键掌握匀变速直线运动的运动学公式,并能灵活运用.
练习册系列答案
相关题目