题目内容
(l)写出
(2)求 M、N 板上的闪光点与 x 轴的距离之比:
【答案】分析:(1)根据电荷数守恒、质量数守恒写出衰变方程.
(2)根据动量守恒定律求出α粒子和反冲Th核的速度大小之比,从而得出运动的时间之比,结合牛顿第二定律和运动学公式求出 M、N 板上的闪光点与 x 轴的距离之比.
解答:解:(1)
→
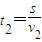
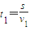
(2)设α粒子的质量为m1、初速度为v1,Th核的质量为m2、速度大小为v2,它们沿x轴方向上的位移大小为s,从衰变到N、M板发出闪光的时间分别为t1、t2.
根据动量守恒定律m1v1=m2v2
故
,
粒子在电场方向上的位移
=
M、N上的闪光点与x轴距离之比
=
.
答:(1)衰变方程为
→
(2)M、N 板上的闪光点与 x 轴的距离之比:
=2632.5.
点评:解决本题的关键知道α粒子和反冲Th做类平抛运动,结合动量守恒定律、牛顿第二定律和运动学公式综合求解.
(2)根据动量守恒定律求出α粒子和反冲Th核的速度大小之比,从而得出运动的时间之比,结合牛顿第二定律和运动学公式求出 M、N 板上的闪光点与 x 轴的距离之比.
解答:解:(1)
(2)设α粒子的质量为m1、初速度为v1,Th核的质量为m2、速度大小为v2,它们沿x轴方向上的位移大小为s,从衰变到N、M板发出闪光的时间分别为t1、t2.
根据动量守恒定律m1v1=m2v2
故
粒子在电场方向上的位移
M、N上的闪光点与x轴距离之比
答:(1)衰变方程为
(2)M、N 板上的闪光点与 x 轴的距离之比:
点评:解决本题的关键知道α粒子和反冲Th做类平抛运动,结合动量守恒定律、牛顿第二定律和运动学公式综合求解.
练习册系列答案
相关题目
| A、点电荷在从P到O的过程中,加速度越来越大,速度也越来越大 | B、点电荷在从P到O的过程中,加速度越来越小,速度越来越大 | C、点电荷运动到O点时加速度为零,速度达最大值 | D、点电荷越过O点后,速度越来越小,加速度越来越大,直到粒子速度为零 |
| A、O点电势为零 | B、N点电势比点M高 | C、M点电场强度比N点小 | D、O点电场强度比N点大 |