ÌâÄ¿ÄÚÈÝ
ÓÐÒ»¸öµãµçºÉQµÄµç³¡ÖУ¬Ox×ø±êÖáÓëËüµÄÒ»Ìõµç³¡ÏßÖØºÏ£¬×ø±êÖáÉÏA¡¢BÁ½µãµÄ×ø±ê·Ö±ðΪ2.0mºÍ5.0m£®ÒÑÖª·ÅÔÚA¡¢BÁ½µãµÄÊÔ̽µçºÉÊܵ½µÄµç³¡Á¦·½Ïò¶¼¸úxÖáµÄÕý·½ÏòÏàͬ£¬µç³¡Á¦µÄ´óС¸úÊÔ̽µçºÉËù´øµçºÉÁ¿´óСµÄ¹ØÏµÈçͼÖÐÖ±ÏßA¡¢BËùʾ£¬·ÅÔÚAµãµÄµçºÉ´øÕýµç£¬·ÅÔÚBµãµÄµçºÉ´ø¸ºµç£®Ç󣺣¨1£©BµãµÄµç³¡Ç¿¶ÈµÄ´óСºÍ·½Ïò£»
£¨2£©ÊÔÅжϵãµçºÉQµÄµçÐÔ£¬²¢È·¶¨µãµçºÉQµÄλÖÃ×ø±ê£®
¡¾´ð°¸¡¿·ÖÎö£º£¨1£©¸ù¾ÝͼÏßµÄбÂÊÇó³öBµãµÄµç³¡Ç¿¶È´óС£¬¸ù¾Ýµç³¡Ç¿¶ÈµÄ·½ÏòÓëÕýµçºÉËùÊܵ糡Á¦·½ÏòÏàͬ£¬ºÍ¸ºµçºÉËùÊܵ糡Á¦·½ÏòÏà·´£¬Åжϵ糡ǿ¶ÈµÄ·½Ïò£®
£¨2£©¸ù¾ÝAµãµÄÕýµçºÉÊÜÁ¦ºÍBµãµÄ¸ºµçºÉÊÜÁ¦¾ùÖ¸ÏòxÖáµÄÕý·½Ïò£¬ÅжϵãµçºÉµÄµçÐÔ¼°Î»Ö㬸ù¾ÝµãµçºÉµÄ³¡Ç¿¹«Ê½È·¶¨QµÄλÖÃ×ø±ê£®
½â´ð£º½â£º£¨1£©ÓÉͼ¿ÉµÃBµãµç³¡Ç¿¶ÈµÄ´óС
N/C£®
ÒòBµãµÄÊÔ̽µçºÉ´ø¸ºµç£¬¶øÊÜÁ¦Ö¸ÏòxÖáµÄÕý·½Ïò£¬¹ÊBµã³¡Ç¿µÄ·½ÏòÑØxÖáµÄ¸º·½Ïò£®
£¨2£©ÒòAµãµÄÕýµçºÉÊÜÁ¦ºÍBµãµÄ¸ºµçºÉÊÜÁ¦¾ùÖ¸ÏòxÖáµÄÕý·½Ïò£¬
¹ÊµãµçºÉQλÓÚA¡¢BÁ½µãÖ®¼ä£¬´ø¸ºµç£®
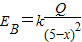
ÉèµãµçºÉQµÄ×ø±êΪx£¬Ôò
£¬
ÓÉͼ¿ÉµÃEA=40N/C£¬Ôò
½âµÃx=2.6m£®
´ð£º£¨1£©BµãµÄµç³¡Ç¿¶ÈµÄ´óСΪ2.5N/C£¬·½ÏòÑØxÖḺ·½Ïò£®£¨2£©µãµçºÉ´ø¸ºµç£¬Î»ÖÃ×ø±êx=2.6m£®
µãÆÀ£º½â¾ö±¾ÌâµÄ¹Ø¼üÕÆÎյ糡ǿ¶ÈµÄ¶¨ÒåʽºÍµãµçºÉµÄ³¡Ç¿¹«Ê½£¬ÒÔ¼°ÕÆÎÕ³¡Ç¿·½ÏòµÄÅжϣ®
£¨2£©¸ù¾ÝAµãµÄÕýµçºÉÊÜÁ¦ºÍBµãµÄ¸ºµçºÉÊÜÁ¦¾ùÖ¸ÏòxÖáµÄÕý·½Ïò£¬ÅжϵãµçºÉµÄµçÐÔ¼°Î»Ö㬸ù¾ÝµãµçºÉµÄ³¡Ç¿¹«Ê½È·¶¨QµÄλÖÃ×ø±ê£®
½â´ð£º½â£º£¨1£©ÓÉͼ¿ÉµÃBµãµç³¡Ç¿¶ÈµÄ´óС
ÒòBµãµÄÊÔ̽µçºÉ´ø¸ºµç£¬¶øÊÜÁ¦Ö¸ÏòxÖáµÄÕý·½Ïò£¬¹ÊBµã³¡Ç¿µÄ·½ÏòÑØxÖáµÄ¸º·½Ïò£®
£¨2£©ÒòAµãµÄÕýµçºÉÊÜÁ¦ºÍBµãµÄ¸ºµçºÉÊÜÁ¦¾ùÖ¸ÏòxÖáµÄÕý·½Ïò£¬
¹ÊµãµçºÉQλÓÚA¡¢BÁ½µãÖ®¼ä£¬´ø¸ºµç£®
ÉèµãµçºÉQµÄ×ø±êΪx£¬Ôò
ÓÉͼ¿ÉµÃEA=40N/C£¬Ôò
½âµÃx=2.6m£®
´ð£º£¨1£©BµãµÄµç³¡Ç¿¶ÈµÄ´óСΪ2.5N/C£¬·½ÏòÑØxÖḺ·½Ïò£®£¨2£©µãµçºÉ´ø¸ºµç£¬Î»ÖÃ×ø±êx=2.6m£®
µãÆÀ£º½â¾ö±¾ÌâµÄ¹Ø¼üÕÆÎյ糡ǿ¶ÈµÄ¶¨ÒåʽºÍµãµçºÉµÄ³¡Ç¿¹«Ê½£¬ÒÔ¼°ÕÆÎÕ³¡Ç¿·½ÏòµÄÅжϣ®
Á·Ï°²áϵÁдð°¸
Ïà¹ØÌâÄ¿