题目内容
列车长为L,铁路桥长也是L,列车沿平直轨道匀加速过桥,车头过桥头的速度是v1,车头过桥尾的速度是v2,则车尾通过桥尾时的速度为( )A.
B.2v2-v1
C.
D.
【答案】分析:车头从桥头到桥尾运动的位移是L,根据位移-速度公式求出加速度,车头从桥头到车尾通过桥尾,火车运动的位移是2L,再根据位移-速度公式即可求解.
解答:解:火车车头从桥头到桥尾运动的过程中有:
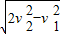
2aL=
①
火车车头从桥头到车尾通过桥尾的过程中有:
2a?2L=
②
由①②得:
v=
故选D.
点评:本题考查的是匀变速直线运动位移速度公式的应用,难度适中.
解答:解:火车车头从桥头到桥尾运动的过程中有:
2aL=
火车车头从桥头到车尾通过桥尾的过程中有:
2a?2L=
由①②得:
v=
故选D.
点评:本题考查的是匀变速直线运动位移速度公式的应用,难度适中.
练习册系列答案
相关题目