题目内容
如图所示,理想变压器原、副线圈的匝数之比是10︰1,原线圈输入交变电压
(V),O是副线圈中心抽出的线头,R1=5 Ω,R2=15 Ω,则
![]()
A.开关S断开时,电流表的示数为0.05 A
B.开关S闭合时,电流表的示数为0.05 A
C.开关S闭合时,两电阻总的电功率为![]()
D.开关S断开时,两电阻总的电功率为![]()
【答案】
AC
【解析】
试题分析: 由电压公式知输入电压的有效值为
V,S断开时,根据电压与匝数成正比知输出电压为10V.S断开时,由欧姆定律知,副线圈中的电流为
,根据电流与匝数成反比得,原线圈中电流为0.05A,故A正确;开关S断开时,两电阻总的电功率为
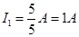
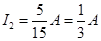
,故D错误; S闭合时,相当于有两个副线圈,电压仍然与匝数成正比,但电流与匝数不在成反比,因O是副线圈中心抽出的线头,两电阻两端电压均为5V,两副线圈中电流分别为
和
,所以由
得,原线圈中电流为
,故B错误; S闭合时,两电阻总的电功率为
,故C正确.所以选AC.
考点:本题考查变压器的构造和原理、理想变压器的电压之间的关系、理想变压器的电流之间的关系以及最大值和有效值之间的关系.
练习册系列答案
相关题目
| 2 |
| A、电流频率为50HZ |
| B、伏特表的读数为24V |
| C、安培表的读数为0.5A |
| D、变压器输入功率为6W |
| A、副线圈的两端M、N的输出电压不变 | B、副线圈输电线等效电阻R上的电压增大 | C、通过灯泡L1的电流增大 | D、原线圈中的电流增大 |
| A、3mA | B、48mA | C、与R的阻值有关 | D、0 |