ÌâÄ¿ÄÚÈÝ

1997Äê8ÔÂ26ÈÕÔÚÈÕ±¾¾ÙÐеĹú¼ÊѧÊõ´ó»áÉÏ£¬µÂ¹úijѧ»áµÄÒ»¸öÑо¿×éÐû²¼ÁËËûÃǵÄÑо¿½á¹û£ºÒøºÓϵµÄÖÐÐÄ¿ÉÄÜ´æÔÚÒ»¸ö´ó¡°ºÚ¶´¡±£®Ëùν¡°ºÚ¶´¡±£¬ËüÊÇijЩÌìÌåµÄ×îºóÑݱä½á¹û£®

(1)¸ù¾Ý³¤ÆÚ¹Û²â·¢ÏÖ¾àÀëij¡°ºÚ¶´¡±µÄÁíÒ»¸öÐÇÌå(ÉèÆäÖÊÁ¿Îª)ÒÔµÄËÙ¶ÈÈÆ¡°ºÚ¶´¡±Ðýת£¬Çó¸Ã¡°ºÚ¶´¡±µÄÖÊÁ¿£®(½á¹ûÒªÇó±£Áô¶þλÓÐЧÊý×Ö)

(2)¸ù¾ÝÌìÌåÎïÀíѧ֪ʶ£¬Ä³ÌìÌåµÄÌÓÒÝËٶȹ«Ê½Îª£¬ÆäÖÐÒýÁ¦³£Á¿£¬MΪÌìÌåÖÊÁ¿£¬RΪÌìÌå°ë¾¶£®ÇÒÒÑÖªÌÓÒÝËÙ¶È´óÓÚÕæ¿ÕÖйâËÙµÄÌìÌå½Ð¡°ºÚ¶´¡±£®Çë¹ÀËã(1)ÖС°ºÚ¶´¡±¿ÉÄܵÄ×î´ó°ë¾¶£®(½á¹ûÖ»ÒªÇó±£ÁôһλÓÐЧÊý×Ö)

´ð°¸£ºÂÔ
½âÎö£º

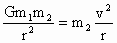
(1)Éè¡°ºÚ¶´¡±ÖÊÁ¿Îª£¬ÌìÌåÖÊÁ¿Îª£¬ËüÃÇÖ®¼äµÄ¾àÀëΪr£¬¸ù¾ÝÍòÓÐÒýÁ¦µÈÓÚÏòÐÄÁ¦£¬¼´µÃ

(2)Éè¡°ºÚ¶´¡±µÄ¿ÉÄܰ뾶ΪR£¬ÖÊÁ¿Îª£¬ÒÀÌâÒ⣬ÐëÂú×ã

Ôò£¬¹Ê¡°ºÚ¶´¡±µÄ¿ÉÄÜ×î´ó°ë¾¶

»òÓÉ

µÃ

ÔÚÓÐЩʵ¼ÊÎÊÌâÖУ¬°´ÕÕÔ­ÌâËùÌṩµÄÎïÀí¹ý³Ì£¬ÍùÍùºÜÄѽâ´ð£®ÈôÄܶÔÔ­ÌâµÄ¹ý³ÌÖØÐÂÐéÉèÁíÒ»¸ö¹ý³Ì£¬ÖØÐÂչʾԭÌâÒþº¬µÄÎïÀíÏÖÏóºÍ¹ý³Ì£¬¼´¿ÉÕÒµ½Î´ÖªÁ¿ºÍÒÑÖªÁ¿µÄ¹ØÏµ£®±¾ÌâÒªÇóºÚ¶´µÄ×î´ó°ë¾¶±ØÐëÒª´´ÉèÒ»ÔÚºÚ¶´±íÃæËùÓÐÎïÖʼ´Ê¹³õËٶȵÈÓÚ¹âËÙÒ²²»ÄÜÌÓÍÑÆäÒýÁ¦Êø¸¿£¬ËùÒÔÎÒÃÇ¿ÉÒÔ¼ÙÉèÓÐÒ»Î§ÈÆºÚ¶´±í¸ö¹ý³Ì£¬ÓÉÓÚÃæÔËÐеÄÐÇÌ壬µ±ËÙ¶È´ïµ½¹âËÙʱֻÄÜÎ§ÈÆÆä×öÔÈËÙÔ²ÖÜÔ˶¯(¹¹ÔìµÄÕâÒ»¹ý³ÌÓëʵ¼ÊÇé¿öÏà±ÈÓÐÒ»¶¨µÄ²î±ð£¬µ«²»ÖÁÓÚÓÐÊýÁ¿¼¶ÉϵĴíÎó)£®


Á·Ï°²áϵÁдð°¸
Ïà¹ØÌâÄ¿

Î¥·¨ºÍ²»Á¼ÐÅÏ¢¾Ù±¨µç»°£º027-86699610 ¾Ù±¨ÓÊÏ䣺58377363@163.com

¾«Ó¢¼Ò½ÌÍø