题目内容
如下图所示,在斜面顶角处把两个小球p和q以大小相等、方向相反的初速度水平抛出,两球分别落在倾角为45°和60°的斜面上.若不计空气阻力,则p、q两球在空气中运动时间tp和tq之比为 ,落在斜面上时的速度大小之比vp:vq= .
【答案】分析:平抛运动在水平方向上做运动直线运动,在竖直方向上做自由落体运动,抓住竖直位移和水平位移的关系求出运动的时间,结合运动时间求出竖直分速度,从而求出落到斜面上速度的大小.
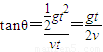
解答:解:根据
,解得t=
.则
.
竖直分速度vy=gt=2vtanθ,则落在斜面上的速度
=
.则
.
故答案为:1:
,
.
点评:解决本题的关键知道平抛运动在水平方向和竖直方向上的运动规律,抓住位移关系,结合运动学公式进行求解.
解答:解:根据
竖直分速度vy=gt=2vtanθ,则落在斜面上的速度
故答案为:1:
点评:解决本题的关键知道平抛运动在水平方向和竖直方向上的运动规律,抓住位移关系,结合运动学公式进行求解.
练习册系列答案
相关题目