题目内容

1930年科学家发现钋放出的射线贯穿能力极强,它甚至能穿透几厘米厚的铅板,1932年,英国年轻物理学家查德威克用这种未知射线分别轰击氢原子和氮原子,结果打出一些氢核和氮核.若未知射线均与静止的氢核和氮核正碰,测出被打出的氢核最大速度为vH=3.5×107 m/s,被打出的氮核的最大速度vN=4.7×106 m/s,假定正碰时无机械能损失,设未知射线中粒子质量为m,初速为v,质子的质量为

(1)推导被打出的氢核和氮核的速度表达式;

(2)根据上述数据,推算出未知射线中粒子的质量m与质子的质量之比(已知氮核质量为氢核质量的14倍).

答案:
解析:

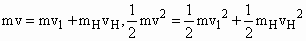
  (1)碰撞满足动量守恒和机械能守恒,与氢核碰撞时有

  

  解之得同理可得

  (2)由上面可得,代入数据得


练习册系列答案
相关题目

违法和不良信息举报电话:027-86699610 举报邮箱:58377363@163.com

精英家教网