题目内容
下列说法正确的是( )A.电荷受到的电场力的方向总跟电场方向相同
B.沿电场线所指的方向,电场强度越来越小
C.以点电荷为中心的同一球面上,电场强度处处相同
D.电场强度的方向总跟正电荷受到的电场力的方向一致
【答案】分析:电场强度的方向与正电荷所受到的电场力方向相同,与负电荷所受到的电场力方向相反;沿着电场线的方向,电势降低;点电荷为球心,则同一球面上的电场强度大小处处相等.
解答:解:A、电场强度的方向与正电荷所受到的电场力方向相同,与负电荷所受到的电场力方向相反,故A错误;D正确;
B、沿着电场线的方向,电势降低,而不是电场强度越来越小,故B错误;
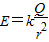
C、点电荷的电场强度
可知,同一球面上,电场强度大小处处相等,方向不同,故C错误;
故选:D
点评:考查电场强度的大小与方向,点电荷的电场强度,及电场线与电势的关系.特别注意正电荷的电场力表示电场强度的方向.同时知道电场强度相同与否,还要考虑其方向.
解答:解:A、电场强度的方向与正电荷所受到的电场力方向相同,与负电荷所受到的电场力方向相反,故A错误;D正确;
B、沿着电场线的方向,电势降低,而不是电场强度越来越小,故B错误;
C、点电荷的电场强度
故选:D
点评:考查电场强度的大小与方向,点电荷的电场强度,及电场线与电势的关系.特别注意正电荷的电场力表示电场强度的方向.同时知道电场强度相同与否,还要考虑其方向.
练习册系列答案
相关题目