题目内容

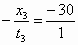
某同学星期天上午9时,从学校骑自行车出发,沿平直公路去拜访甲、乙两名同学,下午1时结束拜访开始沿原路返回,下午2时回到学校,整个过程他骑车走了三段位移,其位移-时间图象如图所示,则在这三段运动过程中,他骑车的速度分别为v1=________,v2=________,v3=________.

答案:15km/h,15km/h,-30km/h
解析:

  根据图象可知,第一段的速度v1 km/h=15 km/h

  第二段的速度v2=v1=15 km/h

  第三段的速度v3 km/h=-30 km/h.


练习册系列答案
相关题目

违法和不良信息举报电话:027-86699610 举报邮箱:58377363@163.com

精英家教网