题目内容
第七届中国国际航空航天博览会于2008年11月4日~9日在广东省珠海市航展中心隆重举行.在航展上我国第一种自行设计并装备部队使用的第三代战斗机歼-10战机展示了优异的性能,其中短距起飞能力就格外引人瞩目.在飞行表演中歼-10战机在t时间内滑行s就达到起飞速度腾空而起,有人预测它将成为中国未来航空母舰的舰载机.若歼-10战机在甲板长为L(L<s)的航空母舰上起飞速度和陆地上相同,且起飞过程都简化为匀加速运动.则有两种方法助其正常起飞,方法一:在航空母舰静止的情况下,用弹射系统给飞机以一定的初速度;方法二:起飞前先让航空母舰沿飞机起飞方向以某一速度匀速航行.求:(1)第一种方法中弹射系统使飞机具有的最小速度;
(2)第二种方法中航空母舰匀速运动的最小速度.
【答案】分析:(1)飞机起飞过程做匀加速运动,由歼-10战机在t时间内滑行s达到起飞速度,由运动学公式求出起飞的加速度和速度.根据速度-位移关系公式求出第一种方法中弹射系统使飞机具有的最小速度;
(2)第二种方法中,航空母舰匀速行驶,飞机起飞时飞机与航母的位移之差不大于L,由位移公式分别列出飞机和航母的位移与时间的关系,联立即可求出第二种方法中航空母舰匀速运动的最小速度.
解答:解:设飞机起飞的加速度为a,起飞速度为vt则有:
s=
①
vt=at ②
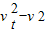
(1)设弹射系统使飞机具有的初速度为v,
有:
≤2aL ③
由①~③得:v≥
所以弹射系统使飞机具有的初速度为
(2)设航空母舰的速度为v1,飞机起飞时间为t1,该时间内航空母舰的位移为s1,飞机的位移为s2,
对航空母舰有:
s1=v1t1 ④
对飞机有:
⑤
⑥
两者位移关系:L≥s2-s1 ⑦
由①②及④~⑦式可得:v1≥
所以航空母舰沿飞机起飞方向的速度至少为
答:
(1)第一种方法中弹射系统使飞机具有的最小速度是
;
(2)第二种方法中航空母舰匀速运动的最小速度是
.
点评:本题要抓住飞机起飞速度和加速度不变这个隐含条件,运用运动学公式求解,同时,要抓住第二种方法中飞机和航线的位移关系,进行综合分析.
(2)第二种方法中,航空母舰匀速行驶,飞机起飞时飞机与航母的位移之差不大于L,由位移公式分别列出飞机和航母的位移与时间的关系,联立即可求出第二种方法中航空母舰匀速运动的最小速度.
解答:解:设飞机起飞的加速度为a,起飞速度为vt则有:
s=
vt=at ②
(1)设弹射系统使飞机具有的初速度为v,
有:
由①~③得:v≥
所以弹射系统使飞机具有的初速度为
(2)设航空母舰的速度为v1,飞机起飞时间为t1,该时间内航空母舰的位移为s1,飞机的位移为s2,
对航空母舰有:
s1=v1t1 ④
对飞机有:
两者位移关系:L≥s2-s1 ⑦
由①②及④~⑦式可得:v1≥
所以航空母舰沿飞机起飞方向的速度至少为
答:
(1)第一种方法中弹射系统使飞机具有的最小速度是
(2)第二种方法中航空母舰匀速运动的最小速度是
点评:本题要抓住飞机起飞速度和加速度不变这个隐含条件,运用运动学公式求解,同时,要抓住第二种方法中飞机和航线的位移关系,进行综合分析.
练习册系列答案
相关题目