题目内容
(火箭班做)质点做直线运动的v-t图象如右图所示,规定向右为正方向,则该质点在前7s内的平均速度为 m/s,第4秒内的平均速度为 m/s.
【答案】分析:v-t图象中图象与坐标轴围成的面积表示位移,在时间轴上方的位移为正,下方的面积表示位移为负.平均速度等于总位移除以总时间.
解答:解:根据v-t图象中图象与坐标轴围成的面积表示位移,可知该质点在前7s内的位移为
m=5m
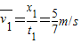
所以该质点在前7s内的平均速度为:
第4秒内的位移为:
m=-7.5m
所以该质点在第4s内的平均速度为:
故答案为:
;-7.5
点评:该题主要考查了v-t图象中图象与坐标轴围成的面积表示位移及平均速度公式的直接应用,难度不大,属于基础题.
解答:解:根据v-t图象中图象与坐标轴围成的面积表示位移,可知该质点在前7s内的位移为
所以该质点在前7s内的平均速度为:
第4秒内的位移为:
所以该质点在第4s内的平均速度为:
故答案为:
点评:该题主要考查了v-t图象中图象与坐标轴围成的面积表示位移及平均速度公式的直接应用,难度不大,属于基础题.
练习册系列答案
相关题目