题目内容
如图所示,一带电微粒质量为m=2.0×10-11kg、电荷量q=+1.0×10-5C,从静止开始经电压为U1=100V的电场加速后,水平进入两平行金属板间的偏转电场中,微粒射出电场时的偏转角θ=30°,并接着进入一个方向垂直纸面向里、宽度为D=34.6cm的匀强磁场区域.已知偏转电场中金属板长L=20cm,两板间距d=17.3cm,重力忽略不计.((1)带电微粒进入偏转电场时的速率v1;
(2)偏转电场中两金属板间的电压U2;
(3)为使带电微粒不会由磁场右边射出,该匀强磁场的磁感应强度B至少多大?
【答案】分析:(1)粒子在加速电场中,电场力做功,由动能定理求出速度v.
(2)粒子进入偏转电场后,做类平抛运动,运用运动的合成与分解求出电压.
(3)粒子进入磁场后,做匀速圆周运动,结合条件,画出轨迹,由几何知识求半径,再求B.
解答:解:
(1)带电微粒经加速电场加速后速度为v,根据动能定理
=1.0×104m/s
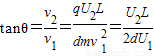
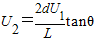
(2)带电微粒在偏转电场中只受电场力作用,做类平抛运动.在水平方向微粒做匀速直线运动
水平方向:
带电微粒在竖直方向做匀加速直线运动,加速度为a,出电场时竖直方向速度为v2
竖直方向:

由几何关系

得U2=100V
(3)带电微粒进入磁场做匀速圆周运动,洛伦兹力提供向心力,设微粒轨道半径为R,由几何关系知


设微粒进入磁场时的速度为v′
由牛顿运动定律及运动学规律
得
B=
=
解得B=0.1T
若带电粒子不射出磁场,磁感应强度B至少为0.1T.
答:(1)速率为1.0×104m/s
(2)电压为100V
(3)磁感应强度B至0.1T
点评:本题是带电粒子在组合场中运动的问题,关键是分析粒子的受力情况和运动情况,用力学的方法处理.
(2)粒子进入偏转电场后,做类平抛运动,运用运动的合成与分解求出电压.
(3)粒子进入磁场后,做匀速圆周运动,结合条件,画出轨迹,由几何知识求半径,再求B.
解答:解:
(2)带电微粒在偏转电场中只受电场力作用,做类平抛运动.在水平方向微粒做匀速直线运动
水平方向:
带电微粒在竖直方向做匀加速直线运动,加速度为a,出电场时竖直方向速度为v2
竖直方向:
由几何关系
得U2=100V
(3)带电微粒进入磁场做匀速圆周运动,洛伦兹力提供向心力,设微粒轨道半径为R,由几何关系知
设微粒进入磁场时的速度为v′
由牛顿运动定律及运动学规律
B=
解得B=0.1T
若带电粒子不射出磁场,磁感应强度B至少为0.1T.
答:(1)速率为1.0×104m/s
(2)电压为100V
(3)磁感应强度B至0.1T
点评:本题是带电粒子在组合场中运动的问题,关键是分析粒子的受力情况和运动情况,用力学的方法处理.
练习册系列答案
相关题目