题目内容
两颗人造卫星A、B的质量之比mA:mB=1:2,轨道半径之比rA:rB=1:3,某一时刻它们的连线通过地心,则此时它们的线速度之比vA:vB= ,向心加速度之比aA:aB= ,向心力之比FA:FB= .
【答案】分析:题考查万有引力定律及其应用,在该类的题目中,一定要使用万有引力提供向心力的公式解答.
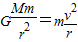
解答:解:1、万有引力提供向心力:
得:
所以:
2、由:
得:
所以:
3、由:
所以:
故答案为:
,9:1,9:2.
点评:该题考查万有引力定律及其应用,解题的关键在于一定要使用万有引力提供向心力的公式解答.属于基础题型,简单题.
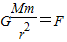
解答:解:1、万有引力提供向心力:
得:
所以:
2、由:
得:
所以:
3、由:
所以:
故答案为:
点评:该题考查万有引力定律及其应用,解题的关键在于一定要使用万有引力提供向心力的公式解答.属于基础题型,简单题.
练习册系列答案
相关题目