题目内容
神舟六号载人飞船2005年10月12日升空,在太空环绕地球飞行77圈后于10月17日顺利返回,这标志着我国航天事业又迈上了一个新台阶.假定正常运行的神舟六号飞船和通信卫星(同步卫星)做的都是匀速圆周运动.下列说法正确的是 ( )A.神舟六号飞船的线速度比通信卫星的线速度小
B.神舟六号飞船的角速度比通信卫星的角速度小
C.神舟六号飞船的运行周期比通信卫星的运行周期小
D.神舟六号飞船的向心加速度比通信卫星的向心加速度小
【答案】分析:根据人造卫星和“神舟”六号载人飞船的万有引力等于向心力,列式求出线速度、角速度、周期和向心力的表达式进行讨论即可.
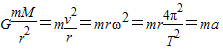
解答:解:根据万有引力提供向心力知
,抓住飞船在近地轨道上运行,轨道半径远小于同步卫星的轨道半径
A、
,轨道半径大的线速度小,故A错误;
B、
,轨道半径大的角速度小,故B错误;
C、
,轨道半径大的周期大,故C正确;
D、
,轨道半径大的向心加速度小,故D错误.
故选C
点评:万有引力提供圆周运动向心力是解决本题的关键.
解答:解:根据万有引力提供向心力知
A、
B、
C、
D、
故选C
点评:万有引力提供圆周运动向心力是解决本题的关键.
练习册系列答案
相关题目