题目内容
如图所示,为一个实验室模拟货物传送的装置,A是一个表面绝缘质量为1kg的小车,小车置于光滑的水平面上,在小车左端放置一质量为0.1kg带电量为q=1×10-2C的绝缘货柜,现将一质量为0.9kg的货物放在货柜内.在传送途中有一水平电场,可以通过开关控制其有、无及方向.先产生一个方向水平向右,大小E1=3×102N/m的电场,小车和货柜开始运动,作用时间2s后,改变电场,电场大小变为E2=1×102N/m,方向向左,电场作用一段时间后,关闭电场,小车正好到达目的地,货物到达小车的最右端,且小车和货物的速度恰好为零.已知货柜与小车间的动摩擦因数µ=0.1,(小车不带电,货柜及货物体积大小不计,g取10m/s2)求:(1)第二次电场作用的时间;
(2)小车的长度;
(3)小车右端到达目的地的距离.
【答案】分析:(1)根据牛顿第二定律分别求出小车和货物的加速度,再根据运动学基本公式分别求出速度和位移,经2秒后,货物作匀减速运动,求出货物的加速度,小车加速度不变,仍为a2=1m/s2向右,当两者速度相等时,货柜恰好到达小车最右端,以后因为qE2=f=µ(m+m1)g,货柜和小车一起作为整体向右以相同的加速度向右作匀减速直到速度都为0.求出货物和小车获得共同速度至停止运动用时间,即可求出第二次电场作用时间;
(2)求出小车在t2时间内位移和货柜在t2时间内位移,根据位移关系即可求得小车长度;
(3)小车右端到达目的地的距离为三段运动位移之和.
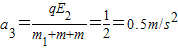
解答:解:(1)根据牛顿第二定律得:货物的加速度
=2m/s2
小车的加速度为:
经t1=2s 货物运动
小车运动
货物V1=a1t1=2×2=4m/s 向右
小车V2=a2t1=1×2=2m/s 向右
经2秒后,货物作匀减速运动
向左
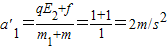
小车加速度不变,仍为a2=1m/s2向右,当两者速度相等时,货柜恰好到达小车最右端,以后因为qE2=f=µ(m+m1)g,货柜和小车一起作为整体向右以
,向右作匀减速直到速度都为0.
共同速度为V=V1-a1′t2
V=V2+a2′t2
t2=
V=
m/s
货物和小车获得共同速度至停止运动用时间
第二次电场作用时间为t=t2+t3=6s
(2)小车在t2时间内位移S3=V2t2+
a2t22=
m
货柜在t2时间内位移为S4=V1t2-
a1′t22=
m
小车长度L=S1-S2+S4-S3=
m
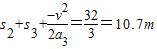
(3)小车右端到达目的地的距离为S
s=
答:(1)第二次电场作用的时间为6s;
(2)小车的长度为
;
(3)小车右端到达目的地的距离为10.7m.
点评:本题主要考查了匀变速直线运动基本公式的直接应用,要求同学们能正确分析各过程的受力情况,根据牛顿第二定律求出加速度,结合隔离法和整体法解题,难度较大.
(2)求出小车在t2时间内位移和货柜在t2时间内位移,根据位移关系即可求得小车长度;
(3)小车右端到达目的地的距离为三段运动位移之和.
解答:解:(1)根据牛顿第二定律得:货物的加速度
小车的加速度为:
经t1=2s 货物运动
小车运动
货物V1=a1t1=2×2=4m/s 向右
小车V2=a2t1=1×2=2m/s 向右
经2秒后,货物作匀减速运动
小车加速度不变,仍为a2=1m/s2向右,当两者速度相等时,货柜恰好到达小车最右端,以后因为qE2=f=µ(m+m1)g,货柜和小车一起作为整体向右以
共同速度为V=V1-a1′t2
V=V2+a2′t2
t2=
V=
货物和小车获得共同速度至停止运动用时间
第二次电场作用时间为t=t2+t3=6s
(2)小车在t2时间内位移S3=V2t2+
货柜在t2时间内位移为S4=V1t2-
小车长度L=S1-S2+S4-S3=
(3)小车右端到达目的地的距离为S
s=
答:(1)第二次电场作用的时间为6s;
(2)小车的长度为
(3)小车右端到达目的地的距离为10.7m.
点评:本题主要考查了匀变速直线运动基本公式的直接应用,要求同学们能正确分析各过程的受力情况,根据牛顿第二定律求出加速度,结合隔离法和整体法解题,难度较大.
练习册系列答案
相关题目