ÌâÄ¿ÄÚÈÝ
£¨1£©µç³¡Ç¿¶ÈµÄ´óС£®
£¨2£©´øµçÁ£×Ó¾¹ýPµãʱËٶȵĴóСºÍ·½Ïò£®
£¨3£©´Å³¡µÄ´Å¸ÐӦǿ¶ÈµÄ´óСºÍ·½Ïò£®
¡¾´ð°¸¡¿·ÖÎö£º£¨1£©´øµçÁ£×Ó½øÈëµç³¡×öÀàÆ½Å×Ô˶¯£¬Ë®Æ½·½Ïò×öÔÈËÙÖ±ÏßÔ˶¯£¬ÊúÖ±·½Ïò×ö³õËÙ¶ÈΪ0µÄÔȼÓËÙÖ±ÏßÔ˶¯£¬µ½´ïPµãºó£¬Ë®Æ½Î»ÒÆÊÇÊúÖ±Î»ÒÆµÄ
±¶£¬×¥×¡ÕâÒ»¹ØÏµ£¬Çó³öµç³¡Ç¿¶ÈµÄ´óС£®
£¨2£©ÔÚÊúÖ±·½ÏòÉÏ×öÔȱäËÙÔ˶¯£¬¸ù¾ÝÔ˶¯Ñ§¹«Ê½Çó³öÊúÖ±·½ÏòËÙ¶È£¬µ½PµãʱËÙ¶ÈΪV=
Çó³öËÙ¶È£¬·½Ïò¸ù¾ÝÁ½·ÖËٶȵĹØÏµÇó³ö¼Ð½Ç£»
£¨3£©×÷³ö½øÈë´Å³¡µÄ¹ì¼£Í¼£¬È·¶¨³öÔ²ÐÄ£¬¸ù¾Ý¼¸ºÎ¹ØÏµµÃ³ö°ë¾¶£¬¸ù¾ÝÂåÂ××ÈÁ¦ÌṩÏòÐÄÁ¦£¬Í¨¹ý°ë¾¶¹«Ê½£¬Çó³ö´Å¸ÐӦǿ¶ÈBµÄ´óС£¬¸ù¾ÝÂåÂ××ÈÁ¦µÄ·½ÏòÈ·¶¨³ö´Å³¡µÄ·½Ïò£®
½â´ð£º
½â£º£¨1£©´øµçÁ£×ÓÊܵ糡Á¦×÷ÓÃ×öÀàÆ½Å×Ô˶¯£¬Ôò
L=
at2
L=vt
Eq=ma
µÃ a=
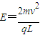
£¬³¡Ç¿Îª
£¨2£©ÔÚÊúÖ±·½ÏòÉÏ×öÔȱäËÙÔ˶¯£¬Y·½Ïò·ÖËÙ¶ÈΪvy£¬ÔòÓÐ
2 a
=vy2 µÃvy=
=
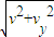
v
µ½PµãʱËÙ¶ÈΪV=
=
v
ËÙ¶ÈÓëˮƽ·½ÏòµÄ¼Ð½Ç¦ÈÂú×ã
=
µÃ´ËʱËÙ¶ÈÓëˮƽ·½ÏòµÄ¼Ð½ÇΪ¦È=arctan
£¨3£©BDÓëˮƽ·½ÏòµÄ¼Ð½ÇÂú×ã
Ôò¦È+¦µ=90°ÓÐv¡ÍBD
Á£×ÓÔڴų¡ÖÐÔ˶¯¹ì¼£µÄÔ²ÐľÍÔÚDµã£¬Ôò R=
BD=
L
ÓÉV=
v£¬qvB=m
µÃ
·½Ïò´¹Ö±Ö½ÃæÏòÍâ
´ð£º£¨1£©µç³¡Ç¿¶ÈµÄ´óСΪ
£®
£¨2£©´øµçÁ£×Ó¾¹ýPµãʱËٶȵĴóСΪ
ºÍ·½ÏòΪÓëˮƽ·½ÏòµÄ¼Ð½ÇΪ¦È=arctan
£®
£¨3£©´Å³¡µÄ´Å¸ÐӦǿ¶ÈµÄ´óСΪ
£¬·½Ïò´¹Ö±Ö½ÃæÏòÍ⣮
µãÆÀ£º±¾ÌâÖØµã¿¼²é´øµçÁ£×ÓÔÚÔÈÇ¿µç³¡ÖеÄÀàÆ½Å׺ÍÔÈÇ¿´Å³¡ÖеÄÔÈËÙÔ²ÖÜÔ˶¯£¬ÒÔ¼°ÔËÓÃÊýѧ֪ʶ½â¾öÎïÀíÎÊÌâµÄÄÜÁ¦£®
£¨2£©ÔÚÊúÖ±·½ÏòÉÏ×öÔȱäËÙÔ˶¯£¬¸ù¾ÝÔ˶¯Ñ§¹«Ê½Çó³öÊúÖ±·½ÏòËÙ¶È£¬µ½PµãʱËÙ¶ÈΪV=
£¨3£©×÷³ö½øÈë´Å³¡µÄ¹ì¼£Í¼£¬È·¶¨³öÔ²ÐÄ£¬¸ù¾Ý¼¸ºÎ¹ØÏµµÃ³ö°ë¾¶£¬¸ù¾ÝÂåÂ××ÈÁ¦ÌṩÏòÐÄÁ¦£¬Í¨¹ý°ë¾¶¹«Ê½£¬Çó³ö´Å¸ÐӦǿ¶ÈBµÄ´óС£¬¸ù¾ÝÂåÂ××ÈÁ¦µÄ·½ÏòÈ·¶¨³ö´Å³¡µÄ·½Ïò£®
½â´ð£º
Eq=ma
µÃ a=
£¨2£©ÔÚÊúÖ±·½ÏòÉÏ×öÔȱäËÙÔ˶¯£¬Y·½Ïò·ÖËÙ¶ÈΪvy£¬ÔòÓÐ
2 a
µ½PµãʱËÙ¶ÈΪV=
ËÙ¶ÈÓëˮƽ·½ÏòµÄ¼Ð½Ç¦ÈÂú×ã
µÃ´ËʱËÙ¶ÈÓëˮƽ·½ÏòµÄ¼Ð½ÇΪ¦È=arctan
£¨3£©BDÓëˮƽ·½ÏòµÄ¼Ð½ÇÂú×ã
Ôò¦È+¦µ=90°ÓÐv¡ÍBD
Á£×ÓÔڴų¡ÖÐÔ˶¯¹ì¼£µÄÔ²ÐľÍÔÚDµã£¬Ôò R=
ÓÉV=
µÃ
·½Ïò´¹Ö±Ö½ÃæÏòÍâ
´ð£º£¨1£©µç³¡Ç¿¶ÈµÄ´óСΪ
£¨2£©´øµçÁ£×Ó¾¹ýPµãʱËٶȵĴóСΪ
£¨3£©´Å³¡µÄ´Å¸ÐӦǿ¶ÈµÄ´óСΪ
µãÆÀ£º±¾ÌâÖØµã¿¼²é´øµçÁ£×ÓÔÚÔÈÇ¿µç³¡ÖеÄÀàÆ½Å׺ÍÔÈÇ¿´Å³¡ÖеÄÔÈËÙÔ²ÖÜÔ˶¯£¬ÒÔ¼°ÔËÓÃÊýѧ֪ʶ½â¾öÎïÀíÎÊÌâµÄÄÜÁ¦£®
Á·Ï°²áϵÁдð°¸
Ïà¹ØÌâÄ¿