题目内容
真空中,两个等量异种点电荷电量数值均为q,相距r、两点电荷连线中点处的电场强度的大小为 .
【答案】分析:根据点电荷的场强公式分别求出等量异种电荷在中点的电场强度,再根据场强的叠加进行合成.
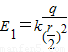
解答:解:两个等量异种点电荷在中点产生的电场强度大小相等,方向相同.大小为
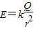
,则合场强E=
.
故答案为:
点评:解决本题的关键掌握点电荷的场强公式
,以及知道场强是矢量,合成分解遵循平行四边形定则.
解答:解:两个等量异种点电荷在中点产生的电场强度大小相等,方向相同.大小为
故答案为:
点评:解决本题的关键掌握点电荷的场强公式
练习册系列答案
相关题目
在真空中,两个等量异种点电荷电荷量数值均为q,相距为r,两点电荷连线中点处放一带电量为Q的正电荷,该电荷受库仑力大小为( )
| A、0 | ||
B、
| ||
C、
| ||
D、
|
真空中,两个等量异种点电荷电量数值均为q,相距为r,两点电荷连线中点处的电场强度的大小为( )
| A、0 | ||
B、
| ||
C、
| ||
D、
|