ÌâÄ¿ÄÚÈÝ

A¡¢BÁ½Áлð³µ,ÔÚͬһ¹ìµÀÉÏͬÏòÐÐÊ»,A³µÔÚǰ,ÆäËÙ¶ÈvA=10 m/s£¬B³µÔÚºó,ËÙ¶ÈvB=30 m/s,Òò´óÎíÄܼû¶ÈºÜµÍ,B³µÔÚ¾àA³µs=75 mʱ²Å·¢ÏÖǰ·½ÓÐA³µ,ÕâʱB³µÁ¢¼´É²³µ,µ«B³µÒª¾­¹ý180 m²ÅÄÜÍ£ÏÂÀ´

(1)B³µÉ²³µÊ±AÈÔ°´Ô­ËÙÂÊÐÐÊ»,Á½³µÊÇ·ñ»áÏàײ?

(2)ÈôB³µÔÚɲ³µµÄͬʱ·¢³öÐźÅ,A³µË¾»ú¾­¹ý¦¤t=4 sÊÕµ½Ðźźó¼ÓËÙǰ½ø,ÔòA³µµÄ¼ÓËÙ¶ÈÖÁÉÙ¶à´ó²ÅÄܱÜÃâÏàײ?

 

¡¾´ð°¸¡¿

(1)Á½³µ»áÏàײ           (2)0.83 m/s2

¡¾½âÎö¡¿

ÊÔÌâ·ÖÎö£ºµÚÒ»ÎÊ6·Ö£¬µÚ¶þÎÊ8·Ö

(1)B³µÉ²³µÖÁÍ£ÏÂÀ´µÄ¹ý³ÌÖÐ,

ÓÉ   (1·Ö)

½âµÃ    (1·Ö)

»­³öA¡¢BÁ½Áл𳵵Äv-tͼÏóÈçͼËùʾ,        

¸ù¾ÝͼÏó¼ÆËã³öÁ½Áл𳵵ÄÎ»ÒÆ·Ö±ðΪ:

sA=10¡Á8 m=80 m  (1·Ö)

   (1·Ö)

ÒòsB£¾s0+sA=155 m   (1·Ö) 

¹ÊÁ½³µ»áÏàײ.   (1·Ö)

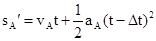
(2)ÉèA³µ¼ÓËÙ¶ÈΪaAʱÁ½³µ²»Ïàײ,ÔòÁ½³µËÙ¶ÈÏàµÈʱ,ÓУºvB+aBt=vA+aA (t-¦¤t)   (2·Ö)

´ËʱB³µµÄÎ»ÒÆ£º    (2·Ö)

A³µµÄÎ»ÒÆ    (2·Ö)

ΪʹÁ½³µ²»Ïàײ,Á½³µµÄÎ»ÒÆ¹ØÏµÂú×ãsB¡ä¡Üs0+sA¡ä   (1·Ö)

ÁªÁ¢ÒÔÉϸ÷ʽ½âµÃaA¡Ý0.83 m/s2     (1·Ö)

¼´A³µµÄ¼ÓËÙ¶ÈÖÁÉÙΪ0.83 m/s2

¿¼µã£º±¾Ì⿼²é×·¼°ÎÊÌâ£¬Éæ¼°µ½Ô˶¯µÄÌÖÂÛ¡£

 

Á·Ï°²áϵÁдð°¸
Ïà¹ØÌâÄ¿

Î¥·¨ºÍ²»Á¼ÐÅÏ¢¾Ù±¨µç»°£º027-86699610 ¾Ù±¨ÓÊÏ䣺58377363@163.com

¾«Ó¢¼Ò½ÌÍø