题目内容
地球质量为M,半径为R,万有引力恒星为G,发射一颗绕地球表面附近做圆周运动的人造卫星,卫星的速度称为第一宇宙速度.(1)试推导用上述各量表达的第一宇宙速度的计算式,要求写出推导依据.
(2)若已知第一宇宙速度的大小为v=7.9km/s,地球半径R=6.4×103km,万有引力恒量G=
【答案】分析:绕地球表面附近做圆周运动的人造卫星,可认为其轨道半径是地球的半径R,可利用万有引力提供它做圆周运动的向心力来进行求解.
解答:解:(1)因为卫星绕地球表面附近做圆周运动,所以可认为其轨道半径是地球的半径R.
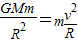
由万有引力提供卫星做圆周运动的向心力得:

得:
(2)由
得:
地球质量
:
代入数据得:M=6×1024kg
答:(1)第一宇宙速度的计算式:
(2)地球的质量为:M=6×1024kg
点评:万有引力提供卫星做圆周运动的向心力是解决这类题目的突破口,找出需要的数据列万有引力定律提供向心力公式即可.
解答:解:(1)因为卫星绕地球表面附近做圆周运动,所以可认为其轨道半径是地球的半径R.
由万有引力提供卫星做圆周运动的向心力得:
得:
(2)由
地球质量
代入数据得:M=6×1024kg
答:(1)第一宇宙速度的计算式:
(2)地球的质量为:M=6×1024kg
点评:万有引力提供卫星做圆周运动的向心力是解决这类题目的突破口,找出需要的数据列万有引力定律提供向心力公式即可.
练习册系列答案
相关题目