题目内容

“验证机械能守恒定律”的实验可以采用如图所示的甲或乙方案来进行.
(1)比较这两种方案,______(选填“甲”或“乙”)方案好些,理由是______.

(2)如图丙是该实验中得到的一条纸带,测得每两个计数点间的距离如图中所示,已知每两个计数点之间的时间间隔T=0.1s.物体运动的加速度a=______ 
【答案】分析:(1)题的关键是明确机械能守恒的条件是只有重力做功,甲方案阻力影响较小,乙方案阻力影响较大,所以甲方案好;(2)应根据求加速度,注意利用“二分法”求平均加速度的方法;(3)要根据公式=来求瞬时速度.
解答:解:(1)机械能守恒定律的条件是只有重力做功,甲方案中摩擦阻力小,误差小,且操作方便,故可采用图甲方案.
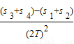
(2)考虑将纸带计数点B到F等效分成两段BD和DF,根据△x=a可得a=,代入数据可得a=4.83m/,该纸带是采用乙方案得到的,因为物体的加速度比重力加速度小的多.
(3)应根据=来求N点的瞬时速度,所以=,所以B正确.
故答案为(1)甲,该方案摩擦阻力小,误差小,操作方便.
        (2)4.83m/s,物体的加速度比重力加速度小得多.
        (3)B
点评:验证机械能守恒定律的实验方案很多,关键是要满足只有重力做功的条件且操作方便才行,可以说明用自由落体运动来验证机械能守恒定律是较好的方法.
练习册系列答案
相关题目
(1)用多用电表可以测量电流、电压和电阻.
某同学用多用电表的“V”挡测量家庭电路的电压,示数如图1所示,则此时电压的测量值为
 
V.
该同学用多用电表“Ω”挡测量电阻阻值时,先选好倍率挡位后,再用表笔连接待测电阻进行读数,则在他的测量过程中缺少的步骤是
 
.若按正确步骤进行测量,表盘的示数如图2所示,则该电阻阻值的测量值是
 
Ω.
精英家教网
(2)在“验证机械能守恒定律”的实验中,利用重锤拖着纸带自由下落,通过打点计时器并打出一系列的点,对纸带上的点迹进行测量,即可验证机械能守恒定律.
①在实验过程中,下列说法正确的是:
 

A.必须使用的测量仪器有:打点计时器、天平和刻度尺
B.打点计时器的两个限位孔要在同一竖直线上
C.实验中其他条件相同时,选用重锤质量的大小不影响实验的误差
D.选用纸带上任意两点的数据都可以验证机械能守恒定律
②按图3所示安装好实验装置,正确进行实验操作,从打出的纸带中选出符合要求的纸带,如图4所示.图中O点为打点起始点,且速度为零.选取纸带上打出的连续点A、B、C、…,测出其中E、F、G点距打点起始点O的距离分虽为h1、h2、h3,已知重锤质量为m,当地重力加速度为g,打点计时器打点周期为T.为难此实验过程中机械能是否守恒,需要计算出从打下O点到打下F点的过程中,重锤重力热能的减少量△EP=
 
,动能的增加量△EK=
 
(用题中所给字母表示).
③以各点到起始点的距离h为横坐标,以各点速度的平方v2为纵坐标建立直角坐标系,用实验测得的数据绘出v2-h图线,如图5所示.从v2-h图线求得重锤下落的加速度g′=
 
m/s2.(保留3位有效数字)

违法和不良信息举报电话:027-86699610 举报邮箱:58377363@163.com

精英家教网