题目内容
“嫦娥一号”的成功发射,为实现中华民族几千年的奔月梦想迈出了重要的一步.已知“嫦娥一号”绕月飞行轨道近似 为 圆形,距月球表面高度为 H,飞行周期为 T,月球的半径为 R,引力常量为 G.求:( 1 )“嫦娥一号”绕月飞行时 的线速度大小;
( 2 )月球的质量.
【答案】分析:(1)根据线速度与轨道半径和周期的关系求出嫦娥一号的线速度大小.
(2)根据万有引力提供向心力求出月球的质量.
解答:解:(1)根据线速度与周期的关系得,
“嫦娥一号”运行的线速度v=
.
(2)设月球质量为M,“嫦娥一号”的质量为m,根据万有引力定律和牛顿第二定律,对“嫦娥一号”绕月飞行的过程有
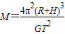
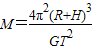
解得
.
答:(1)“嫦娥一号”绕月飞行时 的线速度大小v=
.
(2)月球的质量
.
点评:解决本题的关键知道线速度与周期的关系,掌握万有引力提供向心力这一理论,并能灵活运用.
(2)根据万有引力提供向心力求出月球的质量.
解答:解:(1)根据线速度与周期的关系得,
“嫦娥一号”运行的线速度v=
(2)设月球质量为M,“嫦娥一号”的质量为m,根据万有引力定律和牛顿第二定律,对“嫦娥一号”绕月飞行的过程有
解得
答:(1)“嫦娥一号”绕月飞行时 的线速度大小v=
(2)月球的质量
点评:解决本题的关键知道线速度与周期的关系,掌握万有引力提供向心力这一理论,并能灵活运用.
练习册系列答案
相关题目