题目内容
在有大风的情况下,一小球自A点竖直向上抛出,其运动轨迹如图所示,轨迹上A、B两点在同一水平线上,M点为轨迹的最高点.若风力的大小恒定、方向水平向右,小球抛出时的动能为4J,在M点时它的动能为2J,不计其他阻力.求(1)小球水平位移s1、s2之比,其比值与恒定水平风力的大小是否有关?
(2)风力F的大小与小球所受的重力G的大小之比.
(3)小球落回到B点时的动能EKB.
【答案】分析:(1)根据小球在水平方向的运动为初速为零的匀加速直线运动,竖直方向作竖直上抛运动,抓住上升与下落的时间相等,求出水平位移之比.
(2)通过小球运动到M点风力做功和小球克服重力做功的关系,结合运动学公式求出风力F和重力的大小关系.
(3)对全过程运用动能定理求出小球落回到B点的动能.
解答:解:(1)小球在水平方向的运动为初速为零的匀加速直线运动,竖直方向作竖直上抛运动,由运动独立性原理可知,不论风力大小如何,小球上升时间与下降时间相等.
在水平方向上做匀加速直线运动,初速度为零,在相等时间内的位移之比为s1:s2=1:3,与风力的大小无关.
(2)小球到最高点时,由于风力做功其动能不为零而为2J,小球克服重力做功为4J.
.
,
;
,
代入得
,
(3)回到B点,重力做功为零. EkB-EkA=Fs=4Fs1
EkB=4×2+4=12J
答:(1)小球水平位移s1、s2之比为s1:s2=1:3,与风力的大小无关.
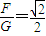
(2)风力F的大小与小球所受的重力G的大小之比为
.
(3)小球落回到B点时的动能为12J.
点评:解决本题的关键将小球的运动分解为水平方向和竖直方向,理清两个方向上的运动规律,结合牛顿第二定律、动能定理和运动学公式进行求解.
(2)通过小球运动到M点风力做功和小球克服重力做功的关系,结合运动学公式求出风力F和重力的大小关系.
(3)对全过程运用动能定理求出小球落回到B点的动能.
解答:解:(1)小球在水平方向的运动为初速为零的匀加速直线运动,竖直方向作竖直上抛运动,由运动独立性原理可知,不论风力大小如何,小球上升时间与下降时间相等.
在水平方向上做匀加速直线运动,初速度为零,在相等时间内的位移之比为s1:s2=1:3,与风力的大小无关.
(2)小球到最高点时,由于风力做功其动能不为零而为2J,小球克服重力做功为4J.
代入得
(3)回到B点,重力做功为零. EkB-EkA=Fs=4Fs1
EkB=4×2+4=12J
答:(1)小球水平位移s1、s2之比为s1:s2=1:3,与风力的大小无关.
(2)风力F的大小与小球所受的重力G的大小之比为
(3)小球落回到B点时的动能为12J.
点评:解决本题的关键将小球的运动分解为水平方向和竖直方向,理清两个方向上的运动规律,结合牛顿第二定律、动能定理和运动学公式进行求解.
练习册系列答案
相关题目